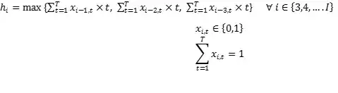
I want to linearize a max constraint as below:

In which x_(i,t),are binary decision variables and T is a constant.
How can I linearize this constraint?
I want to linearize a max constraint as below:

In which x_(i,t),are binary decision variables and T is a constant.
How can I linearize this constraint?