5

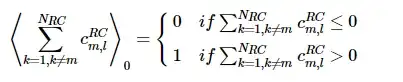
I was hoping to get some help in modelling the following logic as an MIP Constraint

enter image description here

c_{m,l}^{RC} is binary decision variable. Simplify it:

enter image description here

xuezheng
  • 51
  • 2

1 Answers1

2

You want to model $y=1 \iff x > 0$. The following big-M constraints enforce that relationship, where $\epsilon>0$ is a small tolerance: $$\epsilon y \le x \le M y$$

Because your $x$ is integer, you can take $\epsilon = 1$.

RobPratt
  • 32,006
  • 1
  • 44
  • 84