Up until this point I have only solved simple LPP problems with maybe 2 to 3 variables that looked like this, using pen and paper.

I need to solve This Problem using Simplex, Dual Simplex, Big M and 2 Phase. I can use a solver for this problem, but I don't know how to start.
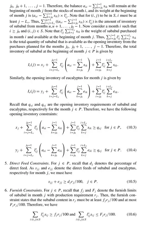
In the PDF above it looks like it has all the constraints and the objective function, I assume I will have to substitute the above values and make a massive objective function. But I don't know what I even need to do.
I have downloaded GAMS and modeled a simple problem in it, but I am not understanding how to start modelling this one in it. So can someone help me on how to start? I have not solved these types of problems before, so which program should I use? Any tutorials maybe on how to model my problem in it.
Other than GAMS I checked and their is an Excel Solver, some libraries for python. I am fine with any of these.
Adding a few images from the PDF:
