What is the logic behind creating this massive objective function, if we could just calculate the optimal cost using dynamic programming?
You pay for each arc you use, so all arcs have to appear in the objective function. If an arc variable (and its respective cost) weren't in the objective function, you could use it "for free".
The question about dynamic programming is separate. Solving an integer formulation or using a dynamic programming algorithm are two ways to approach the same problem. Both are valid, and any of them might outperform the other on specific instances.
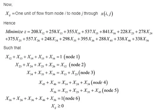
2) Why is the sum of the first row equal to 1? Why is the second row of $X$'s equal to $X_{1,2}$?
3) I don't understand the logic behind the other equalities. If someone could explain, that would be great.
All constraints refer to flow.
The first constraint says that one unit of flow is sent out from the first node.
This is analogous to the last constraint, which says that one unit of flow is ultimately arriving at the sixth node.
Each of the other constraints in the middle refer to a node, from node 2 to node 5.
On the left-hand side you have arcs incoming to the node, and on the right-hand side you have arcs outgoing from the node.
Because you want to conserve flow (as much goes in as goes out) you have equality constraints.
Imagine you didn't have these constraints.
Then a valid solution would be $X_{12} = 1$ to satisfy the first constraint, $X_{46} = 1$ to satisfy the last constraint, and all other variables would be equal to zero.
So the only selected arcs would be $1 \to 2$ and $4 \to 6$.
This would give you an "artificially cheap" solution: you are not paying for any of the arcs linking node 2 with node 4.
But one unit of flow cannot disappear at node 2 (after $1 \to 2$) and magically appear at node 4 (before $4 \to 6$)... it needs to follow a path from 2 to 4.
Now by adding constraint $X_{23} + X_{24} + X_{25} + X_{26} = X_{12}$ you are forcing one unit of flow to move out from node 2, because $X_{12} = 1$ will force one of the variables on the left-hand side to take value one.
For example, if $X_{24} = 1$, then you would obtain a feasible solution corresponding to path $1 \to 2 \to 4 \to 6$.
I encourage you to format your post using the guidelines here: How do I format my posts using Markdown or HTML?
Isn't the logic behind the answer similar to this other question you asked Equipment replacement problem?