First, your assumption is wrong. Discounting all payments by the same rate and variable times does, in fact, produce a compounded (exponential) yield curve and not a linear one, because the yield rate isn't multiplied by the time factor, it's raised to the power of that time factor.
The present value formula is the future value formula (how much would you have if you invested P dollars at a periodic compound rate r over n compounding periods?), rearranged to solve for P. Because the future value formula is an exponential growth formula, the present value formula is similarly an exponential reduction formula.
As to why we don't discount longer-term investments based on rates for shorter-term investments, that's because this is a backwards way to think of it. The rates you see in the bond market are what the "market" as a whole is willing to accept as a yield over the life of a particular bond. That may or may not be what you are willing to accept as a yield for that particular bond. So, using market rates of short-term bonds to determine the desired rate of a longer-term bond will be unnaturally self-stabilizing, as long-term bonds eventually become short-term bonds as their maturity date nears.
Second, bonds that will mature in a short time are safer than bonds with longer maturation rates, because less can happen during the term of the bond, just as quantycuenta said. The longer the term, the more risk of default there is present in the investment, and therefore the higher the average yield demanded by the market.
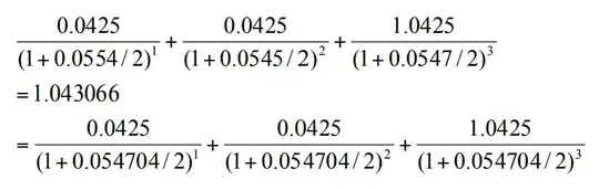
Lastly, if you look at the price of long-term bonds being traded on the market (volume tends to be low compared to stocks, but bonds do get sold prior to maturity), and track the price of the bond as it progresses through its term, you'll see that, in fact, the price does follow an exponential curve. However, for coupon bonds, the slope of this curve is reduced, and for certain classes of bonds it can actually curve downward, if the coupon rate is greater than the yield demanded by the market. If the coupon rate matches the market yield rate exactly, the price of the bond will remain constant, because the coupon payments will avoid compounding of the interest payments. This doesn't mean the yield is flat; the payments, because they're made sooner, are worth more that later payments, because you can use money now to make more money later.