2

I'd like to ask about a different payment method to this question. I use THEAO's first-rate answer there.

How much profit or rate of return is required from a financial instrument, say stocks, to break even with a loan taken out for this? I'll use specific numbers to simplify –

Suppose a bank gives – ☻ Loan = 8,000 USD, ☻ Months = 24, ☻ Monthly interest rate = 0.27%,
Then total amount of loan interest = 0.27%($8000)(24) = $518.4

☻ The loan must be paid back in monthly installments so Excel's PMT(.027, 24, -8000, 0) = $344.70.

☻ Monthly income (say from job salary) = I. So I > $344.70.

☻ Tax rate = T. Of course, 0 ≤ T < 1. Then (1 – T)(Breakeven Amount) = Capital gain after tax.

I pay off the monthly installments only with my monthly employment income I. I'd hold onto the stocks bought in the first month for the 24 months. So only 1 commission for the sell – say $30.

Then (1 – T)(Breakeven Amount) = = 518.4 + 30 USD. I'll round up to 550.
So Breakeven Amount (Call this B) = 550/(1 – T). So I'll breakeven on this loan -– if and only if – I make 550/(1 – T) over 24 months (so the rate of return is B / (10000 + B)).

Anything wrong here? This feels too simple? Are there better ways to think about all this?
Also, what's the best strategy with using a loan to invest in a financial investment?


EDIT after THEAO's answer – I'll assume the monthly income is from employment.

Let me know if this thinking is wrong. I'm just focused on breaking even/recouping – at least – with the total cost of this loan. Is it right that the total cost of this loan is just the total amount of loan interest from stocks over 24 months ($518.4) ? I thought the loan principal ($10,000 USD) is repaid. So it's not part of the cost of this loan. So I'm not expecting stocks to make me/gain the loan principal.

So in your answer, I'm not expecting an income of $344.70 from the stocks every month. I'd only expect one investment income – at the end of the 24 months – the (hoped for) profit which is at least the total cost of the loan.

Does this change anything?

I also thought about using my monthly salary to keep buying shares every month. But then, if the stock price goes up over the 24 months, there'd be less profit. As the price goes up, I'd buy fewer months every month. But with the loan, I can buy many more shares in the 1st month. Don't I just need to breakeven on the total cost of the loan over the 24 months?

  • 7
    The best strategy with using a loan to invest in stocks is to not do that. – littleadv Nov 08 '13 at 04:02
  • @littleadv: This carries a risk, definitely. But what about the math and thinking above? Is it right? –  Nov 08 '13 at 05:37
  • So why wouldn't the bank skip the middle man and earn more by making the investments you'd make? Are you that much smarter than they are? – DJohnM Nov 10 '13 at 07:22
  • @User58220: The bank wouldn't. Certainly not! I'm just trying to work out the math to see why not. –  Nov 10 '13 at 07:38

4 Answers4

5

The best strategy? Skip the loan.

Find a way to invest for a low starting amount via a retirement account (such as a 401K or IRA in the United States) or non-retirement account. Use this money to buy individual stocks or funds.

Every month put money from your regular income into this investment account. Then buy more stocks or sell if the conditions change based on what the market is doing, not to meet a loan payment.

This helps you because if the price fluctuates you will buy more shares if the price is down; and you will buy fewer shares when the price is up. It also allows you to skip worrying about how to repay the loan. It also means that you not have to pull more money out of savings to make the final loan payments if it doesn't make as much money as you plan.

Regarding your math. This is a better understanding of the money flow than the earlier question.

mhoran_psprep
  • 139,546
  • 15
  • 193
  • 389
2

I hope I'm misunderstanding your plan... you want to invest in a way that will make SO MUCH that you pay back all of the loan payments with investment gains? Like the answer I gave on the preceding question, and like littleadv's comment/mhoran's answers... don't do this. No good will come of it.

This strategy requires higher returns, but does not necessarily give you a better return.

But because you asked the question again, let me specify what you're missing... I do think that learning is a good thing. It boils down to two very significant problems that you haven't addressed:

(1) Where are you getting your monthly "income" from?

(2) Realistic vs. Daydreaming--How big do any gains have to be and does that exist in the real world in a way that you can capture?

In a nutshell, if my answer to the last question showed that it's crazy to invest and pay back out of your capital and income... since you're trying to keep your capital and only pay back with monthly gains, this one will require even higher and thus more unrealistic gains.


The model you're implying:

LOAN DETAILS:          Month 1            Month 2          Month 3
Starting Balance       $10,000            $9,598           $9,194
Payment                432.47             432.47           432.47
Interest Owed          $30                $28.79           $27.582
Principal Paid         402.47             403.67           404.88
Ending Loan Balance    9,598              9,194            8,789
-------
INVESTMENTS:
Capital Invested       $10,000            $10,000          $10,000
"Income" (>Payment)    432.47
Assumed Pre-tax Return 4.323%  <----THAT IS MONTHLY RETURNS = Requires 12 x 4.323% = 51.9% Annually
|
(I am ignoring taxes because they simply increase required gains by 25%
... to 64.875% per year)

If that's what you mean with this model, (which I think you do), then here are my two very key questions again:

How are you getting your monthly income? Financial investments (i.e. stocks or bonds) will have two components of value. One component of value is the stream of payments, such as a monthly dividend from stocks that pay those, or the interest payment from a bond. The other is the ability to resell a security to another investor, receiving back your capital.

So... you either have to find Bonds//Dividend stocks that pay >52% returns tax-free each year, and pay this loan off with the payments. (Or higher returns to cover taxes, but these kinds of investments do not exist for you.)

OR you can try to invest in something, pray that it goes up ≥4.323% per month and so that you can sell it, pay back your loan payment with the proceeds, and use the capital to buy your next investment... that will go up 4.323% per month, to turn and sell it again.

The pros that do model this type of speculation go into much more depth than you are capable of. They build models that incorporate probabilities for rates of return based on historical data. They have better information, and have specialized in calculating this all out. They even have access to better investment opportunities (like pre-IPO Twitter or private notes). You just won't find the opportunities to make this happen, each month, for 24 months. (Again, you won't find them. They do not exist for you in as an investor in securities)


Realistic vs. Daydreaming So... clearly I hope that by now I have convinced you that these would be the required returns. They simply aren't available to you. If they were, you would still run into obstacles with converting 'book' returns into physical money that you could repay the loans with, and then continuing that growth.

And while I appreciate the notion that 'if I could just make the payments each month, I'd have $10,000 after 24 months!' I guarantee you that you'll be better off finding another way to target that same investment.

Along the lines of what mhoran said, if you aim for a basic 401K or other similar investment account and target it into the S&P500, you might see returns of anywhere from -25% to +25% over the next 24 months... but if things went like they tend to average for the S&P500, it's more like ~7% annually. Check out a "savings target calculator" like this one from Bankrate.com and put in the numbers... if you can save about $390 a month you'll be at $10K in 24 months. It's not as fun as the other, but you can actually expect to achieve that.

You will not find consistent >50% returns on your money annually.

yoozer8
  • 9,514
  • 5
  • 33
  • 51
THEAO
  • 3,391
  • 17
  • 31
  • Upvote. Thanks a lot. I added some more info in my OP – Can you please get back to me on it? Also, please write back in your answer and not as a comment. I only want to recoup – at least – the total cost of the loan over 24 months. –  Nov 10 '13 at 08:13
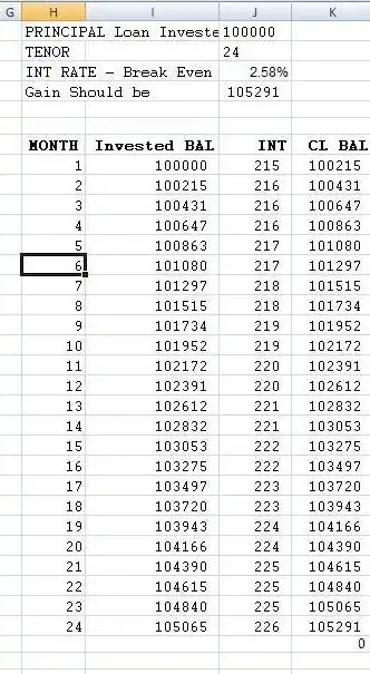
2

Here are my re-run figures. Not counting capital gains taxes, I calculate you need to be making 1.875% per annum or 0.155% per month on your $8,000 investment to break-even on the loan. It's interesting that the return you need to gain to break-even is less than the interest you're paying, even with commission. It happens because the investment is gaining a return on an increasing amount while the load is accruing interest on a decreasing amount.

enter image description here

Ref. r, logarithmic return

Chris Degnen
  • 9,797
  • 1
  • 20
  • 36
  • Thanks a lot. Upvote. 1. Possible error – 0.30%8000 = 0.00308000 is the monthly interest that's constant every month. But the In[1] code shows annual = 0.30. Is this right? –  Nov 12 '13 at 04:36
  • Also, can you please add the Mathematica code to your answer (NOT as a comment)?
  • –  Nov 12 '13 at 04:36
  • I have added a rerun with 0.27% monthly and $8000 principle. – Chris Degnen Nov 12 '13 at 09:39
  • 1
    @ChrisDegnen - I am still struggling with the idea that a lower return investment can pay off the higher rate loan. There has to be something else happening, an influx of cash? That's why the investment isn't dropping, but the loan is? – JTP - Apologise to Monica Nov 12 '13 at 17:55
  • Yes, the loan is being paid down, so the higher rate has less impact. If the investment is good the loan provides leverage to buy in more. That's the basic principle of leverage. – Chris Degnen Nov 12 '13 at 20:21
  • @JoeTaxpayer: Hopefully my answer should answer your question. – Dheer Nov 14 '13 at 18:12