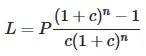
I am looking into PCP finance for a car and I have found estimates where I enter a term and a deposit, and am given a monthly payment for the loan.
Some sites (BMW for example) will let you enter a target monthly payment and term, and they will provide the deposit required to achieve this target. I want to know how this figure can be calculated when the monthly payments, period, balloon payment, and term, are known figures.

