TL;DR The effective tax rate curve is continuous (no jumps) anyway, so why complicate things?
Continuous effective tax rate
The system does yield a "smooth" (in fact you mean "continuous", no jumps) effective tax rate curve. You can have all the jumps/brackets/discontinuities you want in the curve for the marginal tax rate, and it will always produce a "smooth" curve for the effective tax rate.
Let's take an example:
- Marginal tax rate below $500: 5%
- Marginal tax rate between $500 and $2000: 10%
- Marginal tax rate above $2000: 20%
This marginal tax rate is shown below as the dotted blue curve:

And it yields the red curve as effective tax rate.
So how is that? Well, up to $500 dollar this is trivial. Everything you have is taxed 5%, so that's the effective tax rate as well. So what happens when you have $501? The first $500 are still taxed at the lower rate of 5% ($25), and only the additional $1 is taxed at the higher rate of 10% ($0.10). In total, you have to pay $25.10 in taxes, which is only very slightly higher than the $25.05 you would have to pay at a rate of 5%. So there was no jump!
Of course, that's only because there was only a tiny fraction of your money that fell in the second bracket. Once you earn more, that proportion is going to increase, bringing the total effective tax rate closer and closer to the tax rate of the second bracket. You can see that in the curve: Between $500 and $2000 the red curve gets closer and closer to the blue one.
That changes again when we have another jump in the marginal tax rate (at $2000). The red curve then tries to get closer to that new tax rate (20%). Once there are no more jumps (because you are in the highest bracket), the curves will get infinitely close.
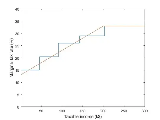
Steps vs. linear function in marginal tax rate
However, my marginal tax rate jumps up by 5.5%, which is not minuscule.
What's wrong with that? There is nothing to fix here because what matters in the end is the continuity of the curve for the effective tax rate. If the effective tax rate had jumps, that would be a problem because it would mean extremely high marginal rates at those points, leading to situation where earning more money before taxes could mean having less money after taxes. But that's not the case here.
Couldn't the marginal tax rate increase smoothly with income?
So I don't see what a linear progression of the marginal tax rate achieves. It will only make things much more complicated to calculate: You will have a quadratic function as a result for the total tax owed, which is a result of the integration of your linear function. That's not too nice to calculate for non-mathematicians.
Reasons for defining marginal tax rate (vs. continuous curve for effective tax rate)
The reasons for defining marginal tax rates with brackets (steps, blue curve) instead of defining a continuous (and possibly smooth) effective tax rate curve (red curve) directly are mainly simplicity:
- Simpler math to figure out the total tax burden. Polynomials are not flexible enough for the type of curved that is typically desired as effective tax rate (horizontal asymptote), so you have to introduce more complex functions. People will mess this up, for sure!
- Trivial way of determining the marginal tax rate (just look at the right bracket): If I try to get that raise, how much of that additional money will go to taxes? Well, if you are in the tax bracket for 30% and your employer pays you $1000 more, you will pay 30% * $1000 = $300 in taxes and therefore have $700 more. Try to figure that out with an algebraically defined smooth effective tax rate curve! You either have to make the complicated calculus twice, or figure out the marginal tax rate by calculating a derivative of the complicated function.
- Trivial way to make sure there is no marginal tax rate of more than 100% (and not too close to it, either). You want to avoid that situation, otherwise a raise in salary can result in a lower salary after taxes, and that kind of incentive to work less is generally not appreciated in our economic system. With a complicated effective tax rate curve, you'd have to analyze the first derivative to make sure it has a low enough bound.
- Simpler political discussion about changes in the parameters: It's more understandable to say you want to raise the tax rate in the highest bracket from 40% to 42%, than to say you want to change the second and third factor of the polynomial function from 0.4 to 0.41 and 0.02 to 0.018, respectively. Who would immediately see the implications? Also, this way you can define tax rates for different income groups (even though that's an oversimplification) and the "smooth" transition happens automatically.