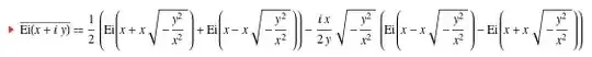
I noticed that the following function
$$\mbox{Ei}(x) := - \int_{-x}^{\infty}\frac{e^{-t}}{t} \,\mathrm d t$$
occurs increasingly in different areas of physics and in mathematics.
I am wondering if anyone knows of any interesting functional or algebraic properties it possesses that might make its applications more efficient. After scouring different sources I have not found any, but have seen it trivially related to other functions such as the incomplete gamma function or the sine and cosine integrals.




