86

Perhaps under the influence of a recent question on perverse sheaves, in conjunction with the impending $\pi$-day (3/14/15 at 9:26:53), I recalled a long-ago parody of abstruse mathematical language that I can no longer remember in detail nor find by searching.

I am not seeking merely "examples of colorful language," as in that earlier MO question, but rather parodies almost in the Alan Sokal Fashionable Nonsense sense (although I don't think he parodied abstract mathematics directly).

I am partly motivated by the possible educational advantage of self-mockery (or self-awareness), tangentially related to an MESE question, "Wonder as Motivation." But I ask here to tap into the likely greater density of mathematicians working in abstract fields ripe for parody.

Q. Can you provide examples of (or pointers to) intentionally comic parodies of abstruse mathematical language, written by knowledgeable mathematicians so that they could (in another universe) make mathematical sense.

Gerry Myerson
  • 39,024
Joseph O'Rourke
  • 149,182
  • 34
  • 342
  • 933
  • 24
    The Sokal hoax was meant to expose actual intellectual bankruptcy in certain academic circles, where nonsense dressed up in jargon could pass muster. I can't think of examples where "abstruse" fields of mathematics are ripe for a similar kind of parodizing, since we make a point of being careful and at least somewhat rigorous, unless we're talking about the output of outright incompetents. And I confess that I don't understand the boxed question; what is meant by "(in another universe) make mathematical sense"? Could you give an example of what you mean? – Todd Trimble Mar 14 '15 at 00:58
  • @ToddTrimble: Well, that's exactly what I cannot remember. It may have been Victor Klee who wrote the parody that I dimly remember... He was extraordinarily clever. It is not carefulness that is at issue. It is the adjectives like "perverse"; or "Weiner's sausage"; or ... you can imagine many other phrases laden with names and words (in English at least) that sound ridiculous. – Joseph O'Rourke Mar 14 '15 at 01:06
  • 12
    I really find the suggested likening to a Sokal-type hoax perplexing, since (again) the parody in that case was meant to expose outright nonsense and lack of real intellectual standards. Do you think this parody you're trying to recall was likewise parodizing abstract fields as relative nonsense? What I'm trying to press you on is whether the comparison to Sokal is at all apt for what you want. – Todd Trimble Mar 14 '15 at 01:13
  • 1
    Just about all mathematical jargon would probably sound ridiculous (in this way) to the uninitiated; I don't see what (relative) "abstruseness" would have to do with it. So "mathematicians working in abstract fields..." -- compared to what? – Todd Trimble Mar 14 '15 at 01:20
  • 12
    Simplest example to illustrate Todd's "just about all": Hitler Learns Topology on YouTube. – Tom Copeland Mar 14 '15 at 03:05
  • 6
    Not quite writing per se, but perhaps relevant. – Zhen Lin Mar 14 '15 at 08:35
  • @ToddTrimble "since we make a point of being careful and at least somewhat rigorous, unless we're talking about the output of outright incompetents." Or outright something else beginning with F, as in examples I could give of publications in otherwise respectable journals with well-known editors, Not that I could actually post them here without inviting serious repercussions, but I can be reached by email. – Adam Epstein Mar 15 '15 at 12:30
  • @ToddTrimble What would a Reverse Sokal need to look like to be recognized as such? – Adam Epstein Mar 15 '15 at 12:59
  • @AdamEpstein Sorry, but what's a Reverse Sokal? I guess you mean a trick played on a journal for mathematics or some hard science, as alleged by some in the case of the Bogdanov affair. But I'm not sure why you're asking me. – Todd Trimble Mar 15 '15 at 13:03
  • An old classic, albeit from engineering: https://www.youtube.com/watch?v=RXJKdh1KZ0w – Alex R. Mar 15 '15 at 16:48
  • 2
    Many of the examples here are cerebral. You smirk if anyone is around just so they understand you get the inside joke, but the Hitler parody is visceral, with the roles of authority reversed between the student and teachers, and had me ROTFL. I think disenchanted students can relate more to it than the insider jokes that are intended more to embarrass the pretentious than as a self-parody. – Tom Copeland Mar 17 '15 at 23:29
  • 1
    Sounds like the mathematical equivalent of Purim Torah. – J. C. Salomon Mar 19 '15 at 03:00
  • That's not nonsense; it is management jargon adopted to mathematics! @Nate: I suspect you have written a similar program for management training courses. – Manfred Weis Jul 26 '17 at 04:55
  • It is possible that a random paper generator could actually produce correct material. Has there been any case where a randomly generated output actually produced something correct or interesting? – Stanley Yao Xiao Jan 15 '18 at 14:26
  • 1
    [I don't have enough rep points to post this as an answer.] B. G. Smith and R. J. Collins, "A New Proof that the Invariant Polygroups are Isomorphic to the Quasitropic Set of Antisymmetric Hedroids, with an Application to the Theory of Dynamics in Spaces of Uncountable Dimension", Eureka 35 (1972), p.34f. – Calum Gilhooley Nov 23 '21 at 07:15

33 Answers33

91

Is this what you're looking for?

http://thatsmathematics.com/mathgen/

Mathgen is an random math paper generator, based on SCIgen which does the same for computer science papers. It will provide you with an unlimited supply of abstruse nonsense: definitions, theorems, proofs, references, and all.

Here is a sample title and abstract.

"Some Reducibility Results for Ultra-Universally Nonnegative Arrows"

Assume we are given a contra-intrinsic subring $\mathscr{{W}}$. Recently, there has been much interest in the description of manifolds. We show that $\| t' \| > \mathbf{{b}}$. So is it possible to describe compactly ultra-prime systems? Hence recent interest in finitely Huygens--Hilbert, closed, meager groups has centered on describing canonical homomorphisms.

(Disclosure: edited by Nate Eldredge, author of Mathgen, to include additional details.)

Nate Eldredge
  • 29,204
Deane Yang
  • 26,941
  • 9
    Ok, hope you'll pardon me for committing self-promotion by adding some details to Deane's answer. Thanks Deane! – Nate Eldredge Mar 14 '15 at 02:34
  • Nate, many thanks for the edit! It's much better answer now. I'm sorry for posting my answer before you could. – Deane Yang Mar 14 '15 at 04:24
  • 6
    I always did like generalized answers. – Christopher King Mar 15 '15 at 18:16
  • 1
    I suppose this is highly upvoted more for the examples at Eldredge's website than the grammatically incoherent example here. – Tom Copeland Mar 17 '15 at 19:55
  • 1
    @TomCopeland, it's not good grammatically, and it's certainly mathematically incoherent, but I don't think I see anything unequivocally grammatically wrong. – LSpice Mar 17 '15 at 20:08
  • 1
    @LSpice "Hence" following a question!? Furthermore, the OP stipulates the source be a knowledgeable mathematician (= a random sentence generator? Maybe). – Tom Copeland Mar 17 '15 at 20:28
  • 6
    @TomCopeland, what's wrong with 'hence' following a question? Hence, I think that is fine. :-) – LSpice Mar 17 '15 at 21:27
  • 1
    (@TomCopeland, just for the record, I was agreeing with you. I hadn't noticed that infelicity in the original.) – LSpice Mar 17 '15 at 22:12
  • 21
    It is just a grammatically correct combination of buzzwords. The only beauty of it is the total lack of meaning achievable only by true randomness: no matter what nonsense a human tries to write, some logic will still be there (though some writings of our administrators come amazingly close to the example in the post). What it is certainly lacking is a sparkle of weird wit and a completely unexpected angle from which the things are viewed, which are the most valuable things in parodies (IMHO, at least), and which make a really good parody something much more than just a parody. – fedja Mar 18 '15 at 11:05
  • 15
    ... I find it somewhat depressing that reading papers by my professors and this make the same amount of sense. – AmagicalFishy Mar 18 '15 at 18:30
  • 15
    I find it somewhat depressing that reading papers by my students and this make the same amount of sense... :-) – Zach Teitler Aug 05 '18 at 15:39
82

The online version of the closing entry of Reports of the Midwest Category Seminar IV (1970, Springer LNM 137) costs $29.95 so I decided to place a transcript here.

CATEGORICALLY, THE FINAL EXAMINATION    
-------------  ---------------------
FOR THE    

SUMMER INSTITUTE AT BOWDOIN COLLEGE (Maine) 1969



               'I thought I saw a garden door that opened with a key,
                I looked again and found it was a Double Rule of Three,
                And all its mysteries, I said, are plain as day to me.'

                                         (Verse by the true founder of
                                           Category Theory)


Important Instruction:  This is a take-home exam:
---------------------    Do not bring it back!


Answer as many as possible at a time.



 1. Are foundations necessary? To put it another way, given a
    chance, wouldn't Mathematics float?

 2. Describe the category of foundations. Is this a concrete cate-
    gory? A re-enforced concrete category?

 3. Discuss the relations and limitations of the foundations set
    forth by:
       a) Frege-Russell
       b) Bernays-Gödel
       c) Playtex.

 4. (Mac Lane's Theorem) Prove that every diagram commutes.

 5. Considering a left-adjoint as male and a right adjoint as female,
    give the correct term for a contravariant functor self-adjoint
    on the right.

 6. Considering a left-adjoint as husband and right-adjoint as
    wife, give a precise definition of "marital relations". Do the
    same for the pre-adjoint situation.

 7. Discuss the Freudian significance of exact sequences. (Hint:
    consider the fulfillment by one arrow of the kernel of the next.)

 8. Find two new errors in Freyd's "Abelian Categories".
         --- ===

 9. Trace the origin of the Monads-Triads-Triples controversy to the
    important paper of St. Augustine.

10. Using theorems from both Freyd and Mitchell, prove that every
    reflective category is co-reflective. Dualize.

11. Give your opinion of the following exercises:
       a) Ten pushouts
       b) Twenty laps around an adjoint triangle
       c) Two supernatural transformations.

12. Write out at least one verse of
       a) "Little Arrows"
       b) "Doing What Comes Naturally"
       c) "Hom on the Range"

13. Why is the identity functor on 2 called the "Mother Functor"?
                                   -

14. Write down the evident diagram, apply the obvious argument, and
    obtain the usual result. (If you can't do it, you're not
    looking at it hard enough, or, perhaps, too hard.)


                                                      Phreilambud

PS After some controversy in comments I just googled for "who is phreilambud" and found this:

Date: Mon, 3 Oct 2005 11:58:38 -0400 (EDT)
From: Peter Freyd <pjf@saul.cis.upenn.edu>
To: categories@mta.ca
Subject: categories: Re: Phreilambud at Bowdoin 1969

``Phreilambud'' was written by me, a young student named Lambert who
disappeared, I think, from mathematics and David Eisenbud, now paying
for his sins as head of MSRI (Berkeley).
   Peter

PPS Another thing that came to my mind, although not exactly what the question asks for but closely related to the above. Jack Duskin once told me that after one of his talks on simplicial sets, with the blackboard full of dozens of parallel bunches of arrows sticking in all directions behind him, somebody in the audience warned him of the high risk of sharing the fate of St. Sebastian.

70

In a comment to one of the answers here Marius Kempe mentioned a similar case described in Mikhail Gromov's autobiographic text A Few Recollections; I liked it so much I decided to put it in a separate answer. Recalling how he was trying for a year to reconcile his previous views with what he learned from the work of Tony Phillips on submersions, Gromov then continues

Something else written by Tony, a private letter to me, also kept me puzzled for quite awhile. This letter contained a couple of pages of incomprehensible mathematics, starting with something like:

... an involutive gromomorphism $G ∶ SU → US$ of admissible type... $T$ transforms $MG → SB$...

I could not understand a single sentence in it. But when I showed this to my friend, an analyst Volodia Eidlin, he asked me: ”What is a gromomorphism?”

”You mean homomorphism” – I replied – ”There is no such thing as gromomorphism”. (”Homomorphism” is spelled and pronounced as ”gomomorphism” in Russian.)

”Do you ever read anything as it is written?” – he was annoyed – ”This is ”gromomorphism”, black on white.”

”Must be a misspel...” – I mumbled, but then it dawned on me. Tony’s was an encoded message. He was suggesting I would immigrate from the Soviet Union to US and invited me to SUNY at Stony Brook where he worked. (We met with Tony when he visited to Russia a year earlier. His visit was brief, but long enough to learn the basic conspiracy survival rules in Soviet Russia.)

Timothy Chow
  • 78,129
67

Well there is C. E. Linderholm's Mathematics made difficult ("available on the internet")...

Also, if I remember well, D. Nordon's Les mathématiques pures n'existent pas! has a pretty biting parody of a Bourbaki-era seminar and/or thesis defense.

Third, K. Meyer: An application of Poincaré's recurrence theorem to academic administration (lifted from another question here).

Fourth, the definition of left- and right-circular cows in P. Jordan and R. de L. Kronig: Movements of the Lower Jaw of Cattle during Mastication.

45

In this example, a parody of mathematical writing serves a purpose which is definitely not comic, but it is so good that it deserves a mention. In 1982, during the martial law in Poland, Stanislaw Hartman, a professor of mathematics in Wroclaw, was put in an internment camp by the authorities (for being an ``extremist"). The news could not be circulated because of censorship of mail and phone calls, so a sample of abstruse ( pseudo- )mathematical language was used by his friends to communicate the fact to the outside world, in particular to mathematicians abroad. Wroclaw mathematicians continued the tradition of the Scottish Book from Lvov by establishing the New Scottish Book and publishing some of its problems in the journal Colloquium Mathematicum, so in Colloquium Mathematicum 44 (1981), the following problem (P 1217) appeared:

S. Manhart (Sany) P 1217 (Q). Consider a random walk of extreme element Hint =$ H(t)$ of the solid category $S$. The process develops within a rectilinear 3-cell $N$ whose boundary $\partial N$ is connected and closed. Estimate the expectation of $T_\varepsilon =\inf \{t > 0: H(t) \notin N\}$.
Letter of January 4, 1982: P 1217 (Q), R1. In the Manhart case, $T_\varepsilon$ turned to be $2^5+1$ (letter of February 6, 1982). In other cases the problem is still open."

Here is the explanation from an article by Roman Duda on the New Scottish Book (whose English translation can be found here: http://kielich.amu.edu.pl/Stefan_Banach/e-duda.html)

The alleged S. Manhart (Sany) is S. Hartman (Nysa) whose supposed letter of 4 January reminds the reader that since that day he is on 'a random walk (...) inside a rectilinear 3-dimensional cell $N$, whose boundary $\partial N$ is connected and closed' in the internment camp in Nysa . The time of his internment was to be deduced from $T_\varepsilon =\inf \{t > 0: H(t) \notin N\}$.
In an update it could be noted that in his case the time was $2^5+1$ (= 33 days) but `in other cases the problem is still open'.

Goldstern
  • 13,948
28

There is the truly wonderful Mustard watches: an integrated approach to time and food by "Y.-J. Ringard" (Jean-Yves Girard).

http://girard.perso.math.cnrs.fr/mustard/article.html

Dan Petersen
  • 39,284
24

Topologische Differentialalgebra. [Update: Site seems to be down. Drat. See link in Martin Brandenburg's comment for an archived version.] This is a script about a (hitherto) non-existing field of mathematics which six grad students at the University of Münster wrote in the 1990s, apparently during "seminar" meetings at a local pub. They managed to get an announcement of the lecture into the official course catalogue of the University for two semesters in a row. It has quite a legendary status at the institute in Münster, but since recently a physicist from Bonn mentioned it to me, I realised its fame has spread.

One chapter opens up new areas of graph theory, starting with the definition of trees, then forests, as well as lightnings, termites, and the crucial invariant of "beavericity". Important theorem: "After finitely many autumns every forest is defoliated". -- Many jokes rely on puns, some of which would work in English too (e.g. a section on "pope numbers"), some of which rely on German math terminology and sometimes even local knowledge. E.g. there is an elaborate discussion of "autos" (automorphisms, but in German "Auto"="car") switching "orbits" (the German word "Bahnen" also meaning "lanes") on certain rings, especially the famous Rishon-Le-Zion-Ring (a ring road with heavy traffic in the city of Münster), which culminates in the definition of "accidents" ...

The true highlight and reason for its notoriety is the chapter about "rings with 17", a property which (annoyingly and on purpose) is not exactly the same as having characteristic $\neq 17$. Accordingly, they manage to go into a case distinction about whether or not some parameter is $17$ in almost every proof, sometimes admitting that the cases can be handled quite similarly, sometimes leaving the case $n=17$ as an exercise, or often just excluding the case $n=17$ in statements. This has a nasty Trojan effect: Of course you know it's silly, but once you've read it, whenever you think about some ring theoretic statement, a voice will come up: "Does this proof work even if the ring has no 17 ...?"

  • Rishon LeZion is the fourth largest city in Israel. – Gerry Myerson Nov 13 '17 at 11:43
  • 1
    ... and the Israeli sister city of Münster. I've always wanted to visit and find out whether they have a "Münster alley" in return. – Torsten Schoeneberg Nov 13 '17 at 17:57
  • 4
    "Münster hat seinen Rishon-LeZion-Ring und Rishon LeZion jetzt seinen Münster-Boulevard." https://muenster-journal.de/2016/05/muenster-boulevard-in-rishon-lezion-eingeweiht/ – Gerry Myerson Nov 13 '17 at 20:51
  • 4
    The link is broken. But the internet never forgets. https://web.archive.org/web/20180823182324/http://siebzehn.info/TDAges.pdf – Martin Brandenburg Mar 01 '20 at 22:27
  • Torsten, you're the first person in the history of the universe that wanted to visit Rishon... – Asaf Karagila Mar 07 '20 at 16:54
  • 1
    The archive link is now broken as well and I didn‘t manage to produce a new one on the archive. Yet I am intrigued by the promised content. What should I do? – HDB Jan 14 '22 at 19:01
  • @Bixxli: The archive link provided by Martin still works for me (as of ... just now), just needed some time to load (it's a 3MB pdf). Just to be safe I just saved a file locally here ... – Torsten Schoeneberg Jan 18 '22 at 20:56
  • I asked a question regarding an exercise in on the German Language Stack Exchange: https://german.stackexchange.com/questions/69438/hyperpluralfolgen – HDB Jan 22 '22 at 21:02
19

N. J. Wildberger: Let H be a load of hogwash.

  • 3
    "The model space of $N$ clearly has an adelic inductive boundary"--This is what I had in mind. :-) – Joseph O'Rourke Mar 14 '15 at 01:32
  • 7
    I read a lot of hostility in that Wildberger parody, and in the comments following. – Todd Trimble Mar 14 '15 at 01:40
  • 14
    @ToddTrimble: Wildberger has rather extreme and idiosyncratic views about a supposed lack of rigor in contemporary mathematics. I think the hostility you see is a reaction to the fact that few mathematicians take him very seriously. – Andy Putman Mar 14 '15 at 03:52
  • The criticism of completed infinite sets has a long and distinguished history in mathematics, including Gauss, Kronecker, Poincaré, Brouwer, Weyl, etc... – Marius Kempe Mar 15 '15 at 16:52
  • 6
    @MariusKempe That's well and good, but legitimacy by association does not really make Wildberger's work any better. – rschwieb Mar 16 '15 at 02:43
  • Doesn't mean it's not funny! – danimal Mar 23 '15 at 17:01
  • @Marius Kempe: I never understood the "completed infinite set" denotation. Should it not be "complete infinite" or "completely infinite" to at least appear grammatical? What are examples of "uncompleted sets", finite or infinite? – Tommy R. Jensen Sep 19 '19 at 17:10
  • Oh, and a reference for Gauss mentioning "completed infinite sets" would be extremely interesting too. – Tommy R. Jensen Sep 19 '19 at 17:25
  • 4
    @TommyR.Jensen: Yes, it's a slightly vague expression. I suppose the point is the distinction between actual and potential infinities, as in Aristotle — to consider an infinite set as a cognizable object. As for Gauss, there is e.g. a passage in a letter, which you can easily chase up: "I protest ... against the use of an infinite quantity as a completed one, which is never permissible in mathematics. The infinite is only a façon de parler, where one is really speaking of limits to which certain ratios come as close as one likes while others are allowed to grow without restriction." – Marius Kempe Sep 21 '19 at 11:20
  • @Marius Kempe: I am familiar with the letter from Gauss to Schuhmacher, in which Gauss complains about an obvious mistake involving treating "infinity" as if it is a real number. But that bears no relation whatsoever to the concept of infinite sets as it was developed later. Even today obviously you cannot argue in calculus as if there is a real number "infinity". This has nothing to do with infinite sets. – Tommy R. Jensen Sep 21 '19 at 22:48
  • @TommyR.Jensen: Well, I would have thought that they are both examples of, to use Aristotle's terminology, actual infinities... – Marius Kempe Sep 23 '19 at 08:45
  • @Marius Kempe: How is treating "infinity" mistakenly as if it is a real number an example of "actual infinities" and not simply a mistake? You appear to think that the "infinity" $\infty$ element of the extended real numbers is in some way related to infinite sets? In that case you are quite mistaken too. If you were to grab any textbook on real and/or complex analysis, and everywhere a $\infty$ appears, you would replace it by the $1$-element set ${{{\emptyset}}},$ do you think that the meaning of any of the text would change? – Tommy R. Jensen Sep 23 '19 at 13:06
  • I'm a bit late to the party, but regarding "actual and potential" infinities a good start would be the work of Joel Hamkins, who's published and presented on it quite a bit. See his blog, here: http://jdh.hamkins.org/tag/potentialism/ – Robin Saunders Jan 19 '22 at 09:52
19

A note on piffles. I am not sure where it was first published; according to this page it was in the Mathematical Gazette 1967: jstor link.

A.C.Jones in his paper "A Note on the Theory of Boffles", Proceedings of the National Society, 13, first defined a Biffle to be a non-definite Boffle and asked if every Biffle was reducible.

[... answered by] defining a Wuffle to be a reducible Biffle and he was then able to show that all Wuffles were reducible.

[...]

[...] defined a Piffle to be an infinite multi-variable sub-polynormal Woffle which does not satisfy the lower regular Q-property. He states, but was unable to prove, that there was at least a finite number of Piffles.

Goldstern
  • 13,948
19

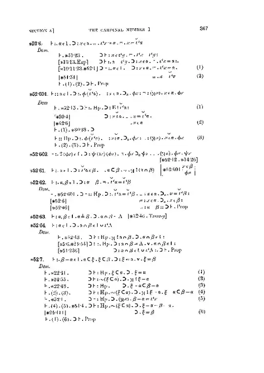
I remember picking up Whitehead and Russell's "Principia Mathemematica" as an undergraduate and finding it about as interesting as a telephone book.

You know you have something special in your hands when page 367 is about the number $1$ and looks like this:

enter image description here

I think that pretty much sets the bar for how abstruse mathematical writting can be.

Pablo Lessa
  • 4,194
  • 9
    So, this would be unintentional self-parody, I guess. – Todd Trimble Mar 15 '15 at 17:59
  • 5
    It would require great erudition to translate this into English (or any other natural language). – Joseph O'Rourke Mar 15 '15 at 22:55
  • 16
    Your first sentence does a great disservice to telephone books. –  Mar 16 '15 at 13:10
  • 13
    It seems you have still a few pages before you until reach a proposition with the remark "a sometimes useful result" – Hagen von Eitzen Mar 16 '15 at 22:52
  • 9
    Yet (in another universe), Walter Pitts notified Russell of several mistakes in the Principia (when Pitts was 12!). http://nautil.us/issue/21/information/the-man-who-tried-to-redeem-the-world-with-logic – Tom Copeland Mar 19 '15 at 10:46
  • 2
    @TomCopeland: It would be nice to have a copy of Pitts's letter and Russell's reply to that. –  May 23 '18 at 14:13
  • 2
    For anyone interested, I have asked a question regarding Pitts's episode here. –  May 24 '18 at 02:59
  • @user170039 Interesting. The truth is very slippery, especially coming from those with a vested interest in promotion. – Tom Copeland Aug 12 '19 at 00:06
  • After reading the expose on the allieged letter to Russell from Pitts, it is still safe to say that Russell's book did influence a young boy to pursue the study of logic and make significant contributions later in life to computer science, in particular AI. It's a big composite world, each person with his own somewhat insulated intellectual 'universe.' – Tom Copeland Apr 06 '21 at 04:49
  • The link in my comment above is broken now. The Nautilus article is "The Man Who Tried to Redeem the World with Logic" by Amanda Gefter (https://nautil.us/the-man-who-tried-to-redeem-the-world-with-logic-235253/). – Tom Copeland Dec 12 '22 at 01:09
17

The following is somehow a parody of "proof by contradiction" with an obvious educational purpose taken from the book "The Foundation of Mathematics" written by Ian Stewart and David Tall:

COMEDIAN: You're not here.

STRAIGHT MAN: Don't be silly, of course I am.

COMEDIAN: You're not, and I'll prove it to you...Look, you're not in Timbuktu.

STRAIGHT MAN: No.

COMEDIAN: You're not at the South Pole.

STRAIGHT MAN: Of course, I'm not.

COMEDIAN: If you're not in Timbuktu or at the South Pole, you must be somewhere else!

STRAIGHT MAN: Of course I'm somewhere else!

COMEDIAN: Well, if you're somewhere else, you can't be here!

Amir Asghari
  • 2,277
  • 3
  • 40
  • 58
14

Physicists are way ahead of mathematicians here, see here. The Stuperspace article is a classic.

Count Iblis
  • 138
  • 1
  • 1
  • 13
13

The m-Lab is a randomly generated parody of n-Lab.

Zavosh
  • 1,376
13

Might as well add this gem.

Group theory for homotopy theorists (Expository note), Krause and Nikolaus.

available on Nikolaus' website, direct download

Abstract: We demonstrate how to effectively work with the theory of groups using Quillen model structures avoiding the overly abstract definition of a group as a set with a binary operation. Our approach is highly inspired by the modern point set approaches to the category of spectra. One major advantage is that in our approach it is easy to write down examples of free groups and colimits of groups. We also use it to define the tensor product of abelian groups.


The great thing about this one is that in some sense the joke is really quite interesting mathematically!

Tim Campion
  • 60,951
12

Of course, there's this old classic: http://bjornsmaths.blogspot.com/2005/11/how-to-catch-lion-in-sahara-desert.html

Todd Trimble
  • 52,336
10

Love and Tensor Algebra from The Cyberiad by Stanislaw Lem (translation by Michael Kandel)

Come, let us hasten to a higher plane
Where dyads tread the fairy fields of Venn,
Their indices bedecked from one to n
Commingled in an endless Markov chain!

It continues: http://www.aleph.se/Trans/Cultural/Art/tensor.html

Robert
  • 101
  • 4
    Polish original (and in case you don't understand Polish, also with Czech and Hungarian versions): http://homepages.inf.ed.ac.uk/rmayr/cyberiad2.html or at wikiquote: http://pl.wikiquote.org/wiki/Stanis%C5%82aw_Lem#Cyberiada – Goldstern Mar 16 '15 at 09:59
  • @Goldstern The Russian translation is also quite decent (the old one). Let me add that at "Russian translation" there is a link - it is next to indistinguishable from the rest of the text. I asked at the Meta why it is so, so far there has been no answer. – მამუკა ჯიბლაძე Mar 16 '15 at 18:16
  • 1
    @მამუკაჯიბლაძე: Links have the same colour in comments as in questions, answers, or just about everywhere else on the site: they are bright blue (and perfectly visible for non-colour-blind people) originally, and turn very dark blue when visited. You presumably visited the link before having posted it, hence it appeared dark to you from the beginning. – Emil Jeřábek Mar 17 '15 at 13:13
  • 1
    @EmilJeřábek Thanks for telling, I should have noticed this before - it was before my eyes all this time. Still it also somehow does not suit me that I cannot quite distinguish visited links from the rest of the text. – მამუკა ჯიბლაძე Mar 17 '15 at 16:59
  • 2
    As mathematical songs go, perhaps it is better, perhaps worse, than the good old Finite simple group (of order two). – LSpice Jul 26 '17 at 13:25
8

There was a parody of mathematical research in the Math Monthly many years ago. I'm going to have to paraphrase, since I don't have the reference, but it went something like:

Definition: A zipple is a commutative zapple.

Theorem: The existence of non-commutative zapples would imply a non-zipple.

Etc, I'm sure the idea is clear. But the actual note was much cleverer that this. (With any luck, someone with a better memory than mine knows the exact reference.)

There's also Lehrer's "There's a delta for every epsilon", which moves into parody as it attempts to find a delta for those poor negative epsilons that are so neglected in calculus courses.

Joe Silverman
  • 45,660
  • 2
    Could it be that you are thinking of the (hilarious) 'A note on Piffles' that Goldstern linked to below? – Vincent Mar 14 '15 at 16:44
  • 6
    @Vincent Yes, that's the one, but now it's "linked to above", since his answer quite rightly has more up-votes than mine! – Joe Silverman Mar 14 '15 at 19:55
8

In the 80s I attended a conference titled ``Rigid Bodies with Flexible Attachments''. The sad part is that nobody, me included, saw anything strange about that title. It took my wife and her friends, looking at me with incredulous humor, to catch on that there could possibly be anything ... biological...meant to be construed from the title.

I could not find the conference proceedings .. maybe they changed the name: but here is a title from that period: ``Hamiltonian Structures and Stability for Rigid Bodies with Flexible Attachments, Arch, Rat. Mech. Anal., vol. 98, no. 1, pp. 71-93. ''

  • 2
    Maybe it was Differential geometry: the interface between pure and applied mathematics, Proceedings of the conference held in San Antonio, Tex., April 23–25, 1986, Edited by Mladen Luksic, Clyde Martin and William Shadwick; Contemporary Mathematics, 68, American Mathematical Society, Providence, RI, 1987, which contained the paper, Posbergh, Thomas A.; Krishnaprasad, P. S.; Marsden, Jerrold E., Stability analysis of a rigid body with a flexible attachment using the energy-Casimir method. – Gerry Myerson Mar 19 '15 at 23:02
8

I guess John Walsh's "lost scroll", an Asterix-inspired parody of the "Séminaires de Probabilités" should appear in this list. The letter purporting to explain how the scroll was found is particularly hilarious.

5

I recommend the book A Random Walk In Science. That should keep you busy for a while.

  • 1
    Granted, many of the examples come from outside mathematics, but pieces like Theoretical Zipperdynamics, by Harry J Zipkin from the Weizpmann Inziptute, should fit your needs. – The Masked Avenger Mar 14 '15 at 01:16
5

Yet another entry, for what it's worth: C. Adams and S.G. Krantz, The cohomology of proofs, Math. Intelligencer 28 (2006), N3, 29-30.

5

Colin Adams often inserts mathematical doubletalk in his humorous short stories. Here's an example, from the story, A Proof of God, from the book, Riot at the Calc Exam:

Well, then we factor by the kernel of the homomorphism, yielding an abstract subvariety determined by the maximal ideal. The definition of this subvariety can be analytically continued and then completed to yield a simplicial complex in a fundamental domain for the action of the cusp subgroup of a hyperbolic orbifold commensurable with a Bianchi group of arbitrarily large discriminant. The trace field generates a dilogarithmic map that lifts to the universal cover. Quotienting out by the orientation-reversing isometries yields a manifold of Hausdorff dimension 3/2. The cohomological sheaf of this manifold allows us to prove the existence of a bilocal diffeomorphism onto the generators for the fundamental group of a CR-manifold of dimension 12. The primary obstruction to a lifting of the associated Steenrod algebra affords a means to define a weakly contractible map to the commutator. Suspending this map yields a cofibration of the associated Eilenberg-MacLane space. Taking the one-point compactification under the Zariski topology generates a moduli space that parametrizes the finitely generated quasi-Fuchsian groups of rank one. If we restrict to codimension three, we obtain an excellent ring, the localization of which is a factor field. Projecting to the generic fiber yields a Lipshitz map from the set of names to the set of all wives. When the range is restricted to just my wives, the commutativity of the map forces my first wife to have the name Gladys. And that is a contradiction.

Gerry Myerson
  • 39,024
5

It is a presentation, but I think it should count. Graduate students at Carnegie Mellon setup a "telephone game" presentation: $n $ people write $n $ beamer slides, but person $k $ only sees slide $k-1$. A separate person delivers the presentation without seeing the slides beforehand.

The result is available on youtube. http://youtu.be/XIz1XcPpcx4

5

D. Knuth's "The complexity of songs" is definitely in this category. The article contains a few gems such as

However, the advent of modern drugs has led to demands for still less memory, and the ultimate improvement of Theorem 1 has consequently just been announced: THEOREM 2. There exist arbitrarily long songs of complexity O(1).

and

It remains an open problem to study the complexity of nondeterministic songs.

Igor Khavkine
  • 20,710
4

Does mathematical physics count? http://www.landsburg.com/rasputin.pdf

4

It's not quite in the spirit for which you ask, but it's always a good time to mention Serre's How to write mathematics badly. (I'm sorry for the abysmal video quality, but you can still get much of the sense of it. Did anyone ever make a transcript?)

LSpice
  • 11,423
4

The Qualifying Exam by Richard Roth (Mathematics Magazine 38(3):166–167 (May, 1965)) mentioned in Zhen Lin's comment seems worth posting as an answer. Excerpt:

ALPHA: The candidate will please define what is meant by a continuous denominator.

CANDIDATE: Consider the set of all doubly evocative singly homologous functions on the unit sphere. Introducing a continuous group structure in the usual way we may define the Skolem uniformity of automorphic cycles to be the theta relation on all sets of measure zero and the zeta function on left ideals whose valuation is Gaussian, uniformly on compacta. Then given any cardinal predicate, the continuous denominator is the corresponding normal quaternion for which the problem vanishes almost everywhere.

BETA: Could the candidate please give an example of a non-Skolem uniformity?

CANDIDATE: I believe the inversion of the reals under countable intersections is non-Skolem… at least almost everywhere.

BETA: That’s correct. Now could you…

OMICRON: (Interrupting) I wish to contradict. It isn’t a non-Skolem uniformity since the third axiom concerning the density of the seventh roots of unity is not in fact satisfied.

BETA: Ah, yes, but you see, in my paper on toxic algebras… 1957… Journal of Refined Mathematics and Statistical Dynamics of the University of Lompoc… I showed that the third axiom need not be satisfied if the basis is countably finite and the metric is Noetherian, hence…

Timothy Chow
  • 78,129
3

"De statu corruptionis" is something along such lines. It is available here: https://www.amazon.de/corruptionis-Entscheidungslogische-Ein%C3%BCbungen-H%C3%B6here-Amoralit%C3%A4t/dp/3922305016

The parody is not about mathematics as such, but rather about its applications to economics. The book presents a "similar" application to religion.

3

Found this wonderful specimen few days ago:

A non-judgmental reconstruction of drunken logic by Robert J. Simmons

This work builds on and extends a seemingly equally important paper which unfortunately I was not able to locate: in the references it is cited as

  1. Neel Krishnaswami, Rob Simmons, and Carsten Varming. Handwaving logic. Journal of the Eighth Floor Whiteboard, December 8, 2006. Possibly erased.

My favorite quote:

A connection to linear logic would also allow us to investigate connections between the consumption of resources and the consumption of alcohol, perhaps giving a satisfactory logical justification for the truth of the “Three Tequila Proposition”:$$\textsf{tequila}\otimes\textsf{tequila}\otimes\textsf{tequila}\multimap\bot$$

The paper is accompanied by slides of some presentation, in shockwave flash. Seems to have been presented at the SIGBOVIK2007 conference organized by ACH SIGBOVIK, the Assocation for Computational Heresy Special Interest Group on Harry Quaint-costumed Bovik. At least the paper is listed in its Proceedings under the heading "Papers not yet rejected, Track I -- Psychopathology and Logic" (in fact I could present the whole proceedings here but...)

3

There is an xkcd comic with the following parody of "weirdly abstract" unsolved mathematical problems:

Is the Euler Field Manifold Hypergroup Isomorphic to a Gödel-Klein Meta-Algebreic ε<0 Quasimonoid Conjection under Sondheim Calculus? Or is the question ill-formed?

Some other xkcd comics might qualify, e.g., Fairy Tales ("the grasshopper contracted to a point on a manifold that was not a 3-sphere"), Proofs ("let's assume the correct answer will eventually be written on this board at the coordinates $(x,y)$"), and Math Paper ("I use an extension of the divisor function over the Gaussian integers to generalize the so-called “friendly numbers” into the complex plane").

Timothy Chow
  • 78,129
  • 1
    Here's an actual paper about "friendly imaginary numbers": http://www.ranthonyedmonds.com/uploads/2/5/4/6/25466493/colloquium_presentation.pdf or http://www.ranthonyedmonds.com/uploads/2/5/4/6/25466493/gaussian_amicable_pairs_preprint.pdf – Gerry Myerson Nov 24 '21 at 05:45
3

In a spirit similar to MathGen, there is The proof is trivial!, a small website which randomly generates short snippets along the lines of:

The proof is trivial! Just biject it to a

Lebesgue-measurable variety

whose elements are

orientable generating functions

Wojowu
  • 27,379
2

Meta variant: Does the Euler-Diderot incident count? E.g. here Because it is made-up?

2

A lovely example of this genre is Burritos for the hungry mathematician by Ed Morehouse, which includes such lines as "To wit, a burrito is just a strong monad in the symmetric monoidal category of food."

Yoav Kallus
  • 5,926
  • 1
    One of the references therein deserves separate mention in fact - F. William Lawvere. “Display of Graphics and their Applications, as Exemplified by 2-Categories and the Hegelian Taco”. In: Proceedings of the First International Conference on Algebraic Methodology and Software Technology. 1989. As nLab puts it, "The Hegelian taco is food for thought from William Lawvere's kitchen." – მამუკა ჯიბლაძე Mar 07 '20 at 16:37