Ideally, I am looking for an online resource. But a book or any other would help already.
Background: I am a senior teaching assistant in the field of business and statistics. Most of my students have not had formal training in mathematics, and neither have I. I notice many of our students have difficulty following the professor's lectures for the trivial reason that they do not know mathematical notation (the professor does have a math background). In my experience as a schoolkid and student, no-one has ever explained how to read an equation. The only reason I know, is that I have cobbled it together from what my professors have said while pointing to their equations, which they always acted we knew how to read already.
I have made some effort to look for such a resource with my search engine, but have not found anything approaching what I mean.
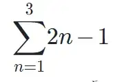
Caveat: I appreciate that there are many subfields of mathematics, and that they use vastly different notations. A general resource would interest me most (and be most useful to future readers of this question), but in my case I am specifically in need of the notations needed in statistical calculations, so: sum, estimate, average, indexing, etc.







@Racquel below makes an excellent point. "Being told that, say, a capital sigma means summing numbers up does not prepare the student to follow the lecturer at the same speed that the lecturer will be reasoning about sums in their presentation. [...] fluency allows one, [occasionally], to predict what the next step in the lecture will be. That ability certainly makes the lecture more readily understood. Generally, math teachers seem to think that fluency is best attained by solving relevant math problems." – nickalh Sep 28 '23 at 22:07