57

The kid I am teaching math (subtraction for large numbers right now) just said this is all too easily done by a calculator, why don't we use it?

Well, I did tell him that you can only learn more stuff by learning this, but this seems like an extremely wrong answer. I am lucky that he is interested in learning, otherwise for a kid who does not have a keen interest, this may have been a devastating answer, because the kid may think learning this only brings more learning.

So, what should be the correct way to teach someone that it's better not to use the calculator?

My question was just for small children, but I believe the concept can be carried forward to higher standards to the limit when computational mathematics is a necessity.

Rijul Gupta
  • 1,165
  • 1
  • 8
  • 15
  • 1
    A question shouldn't make unsupported assumptions, should it? Sometimes the problem motivating the question is in the assumptions. "what should be the correct way to teach someone that it's better not to use the calculator?" If it is not obvious, or you have not proven to yourself or anyone else that it is better not to use a calculator (which you essentially assert here), might not that be part of the reason it is difficult to "teach" students to agree with you? – JPBurke Jun 03 '14 at 11:27
  • Also, technically, your goal (for your purposes) is to get them to do the subtraction without the calculator. It is not to teach them that not using the calculator is better. You can learn mathematics without being convinced about which way is better to practice mathematics in classrooms. – JPBurke Jun 03 '14 at 11:29
  • 5
    I forgot to take a calculator to a chemistry test once, and I still got 97/100 because I know how to do long multiplication/division. They aren't useless. – mrr Jun 03 '14 at 11:32
  • 3
    I have seen one practical downside to calculator use. I was tutoring pre-calculus students, and they had problems with factorization partly because they did not see numbers as products and sums of other numbers. – Patricia Shanahan Jun 03 '14 at 15:43
  • 3
    Consider Asimov's short story "The Feeling Of Power": http://downlode.org/Etext/power.html – Phil H Jun 03 '14 at 15:55
  • 2
    @JPBurke You're misreading the question. The OP isn't suggesting that one should never use a calculator. They are looking for a way to justify that this material is worth learning instead of simply always using a calculator. – jpmc26 Jun 03 '14 at 16:38
  • 1
    @jpmc26 What part of my comment leads you to believe I have misread the question? My comments were intended to draw attention to the assumptions in the question, and therefore are tied directly to assumptions in the question as written. It is worth reflecting on these assumptions. Comment 1 refers to the assumption that the student shouldn't use the calculator in this case. Comment 2 refers to the assumption that foregoing the calculator, as a better strategy, is something the student needs to be taught to believe. The fact is, understanding our assumptions helps make stronger arguments. – JPBurke Jun 03 '14 at 16:52
  • 2
    Ask him who makes calculators - and how do they know that they work properly ? – Matt Jun 05 '14 at 09:26
  • 1
    @Matt, they check the answers using other calculators. :) – JRN Oct 07 '14 at 22:56
  • “The calculator is a shamelessly inadequate crutch for the mathematical cripples produced by the current education system. If you don't believe this, ask a student to evaluate: 1 + 1 / ( 2 + 1 / ( 3 + 1 / ( 4 + 1 / 5 ) ) ) The correct answer is 225/157 or about 1.4331, but they will spend far more time arguing with you that this expression has no meaning before effortlessly dashing off some ridiculously wrong answer which they neither believe nor doubt.” –  Jan 03 '21 at 20:58

15 Answers15

60

To the student who wants to know why he or she should learn addition/multiplication/other mathy thing when they can use a calculator or computer:

It is a matter of independence. You will not always have access to your preferred tool. Being able to compare prices in a store without shamefully pulling out a calculator will boost your confidence that you can make do in an increasingly numerical world. The older you are, the more you will appreciate this.

You will be able to ballpark-verify outcomes. If you want 49 times 51, and you mistype and your calculator says 100 instead of something closer to 2500, you will know this is wrong. A less numerically literate person is resigned to accept the calculator's word as law, which fill help a fat lot when it says ERR.

You can prevent being cheated. (*) People will try to take advantage of you in many ways, not the least being sleight of hand with numbers. Being skilled enough to quickly do these calculations in your head will help you verify or counter numbers fronted by others, and can prevent nasty surprises.

(*) This is close in meaning to independence, but I find it helpful to stress both self-sufficiency in everyday situations and being able to recognize fraudulence.

You are not asked to disavow your calculator. It is not evil or corrupting. Do fall back on it when a calculation takes too much time or you just want a second opinion, as we do too. But you will be a more rounded, self-sufficient individual when you are able to do head calculations or even paper calculations.

JvR
  • 971
  • 6
  • 7
  • Many of the things you mention don't explicitly come from the subtraction algorithm for large numbers. Ball parking, in a way, is a skill that can be taught without this algorithm. – WetlabStudent Jun 02 '14 at 22:32
  • 12
    "You will not always have access to your preferred tool." That depends a lot on what calculations we are trying to do. If it can be done only within short-term memory, that's a valid point. But if it requires paper and pen (if "large" in the question means 20+ digits, for example)... How often do you find yourself with a piece of paper, but without a calculator of any kind (computer, cell phone...)? The only example that comes to my mind is no-calc-allowed exams, but it is hardly convincing in this very debate. – T. Verron Jun 04 '14 at 09:07
  • 3
    "How often do you find yourself with a piece of paper, but without a calculator of any kind?" Fairly often, actually. I like having my phone off. And I'm leery of turning on a computer: once it goes on it never goes off again, and I get nothing done for the rest of the day. – TRiG Jun 04 '14 at 09:28
  • 3
    @TRiG, That's funny, I never get anything done at work until my computer is on. :P – Brian S Jun 04 '14 at 14:29
  • 4
    I'd add two things: First, by understanding how the operations work manually, you get a better understanding about how numbers "work". Second, you also practice calculating small numbers in your head, this will be relevant because you will never want to use a calc for every small addition/subtraction. – Cephalopod Jun 04 '14 at 18:00
  • 2
    A point I would add (since it would have helped me ten years ago), for students looking to go into more advanced mathematics: Learning to carry out an algorithm by hand is useful even if you already know the answer, because now you know how to produce an algorithmic proof of that answer.

    I would have shown my work all the time if I had thought of it as proof-building. This notion might not help everyone, but I hope it helps someone.

    – Keen Jun 04 '14 at 20:09
  • @Cephalopod Decades ago, research showed that students executing algorithms may know very little about how the numbers actually work. Erlwanger's seminal math ed research from the 70's (Benny's conception) is the most notable classic example, but I believe it comes up in Liping Ma's work on understanding algorithms as well (for a more recent example). – JPBurke Jun 05 '14 at 12:43
  • 6
    I would like to add a point about learning concept. You can add and subtract many more things than numbers. Think of sets, polynomials, vectors, matrices etc. Numbers are just a convenient starting point into the math. – Thinkeye Jun 05 '14 at 13:53
  • As for point #1--many times while out shopping I have been asked what the price is when it's a $x with y% off. I don't carry a smartphone, it's my head or don't get the answer. – Loren Pechtel Jun 07 '14 at 17:07
  • I also want to add that, especially for younger children, this also gets them in the mindset of learning the process that it takes to get somewhere instead of jumping straight to the calculator. So while it may be trivial for the specific example of addition/subtraction, by going through the process you are also teaching the child how to learn. There are an uncountable number of other areas where this can benefit the child; if a student learns to at least think about the process involved in getting somewhere, that opens a world of creative and academic possibilities for them. – Jason C Jun 07 '14 at 18:28
  • When I think back to, say, high school, most of the specifics of what I learned there were later forgotten or unused, but I learned how to learn, how to investigate, and was given a learning toolset that surely has helped me every day since, in every subject and activity, whether I realize it or not. Plus, who knows, learning the process may spark an interest that the student never knew they had. It's exciting to learn how a car works, even though in reality you can just take it to a mechanic and forget about it. By skipping straight to a calculator, you rob them of this skill/experience. – Jason C Jun 07 '14 at 18:29
31

I think the issue fundamentally is about a student's comfort with symbols and notation. A student who relies on a calculator thinks of it as a magical oracle that returns an answer to the question being asked. So, when that same student is asked to solve even the simplest of algebra problems, since the calculator can't answer that problem, the student is lost. And since they're not comfortable with symbols, they don't know how to start.

Also, when someone learns subtraction by hand they should simultaneously learn that to check the answer they do the addition by hand from the bottom up. That way, the idea of addition and subtraction being opposites is cemented from the beginning. That way when a student is asked to solve $x+3=5$ they know the should subtract to get rid of the three. And by know I mean at some deeper level than "my teacher told me so".

ncr
  • 2,986
  • 1
  • 13
  • 10
  • 9
    "since the calculator can't answer that problem, the student is lost" so long as the student doesn't think to turn to a "smarter calculator", like Mathematica... Neither case (being lost or finding a better calculator) is good for the student in the long run, though. – Brian S Jun 02 '14 at 16:41
  • 1
    @BrianS my math test, at until 16years old (then is you should understand when/how/why use calculator) was never in te form "solve Y() for x" but was a little situation, sometimes even with "not needed data", so you have to think about what variable you need; many that was learning what formula you need to use just looking at the dimension of the given variable and know formula (and not thinking) was tricked by that – Lesto Jun 04 '14 at 14:25
  • 2
    "A student who relies on a calculator thinks of it as a magical oracle that returns an answer to the question being asked." Your quote could equally apply to calculators or some traditional methods for accomplishing multi-digit subtraction. Research has shown time and again that students often treat algorithms as "a magical oracle." All the way back to Erlwanger's influential work. The problem identified is not in the technology, it is in the instruction. The calculator's presence is therefore technically irrelevant to this particular problem. – JPBurke Jun 08 '14 at 00:34
  • 1
    +1 for "That way when a student is asked to solve x+3=5 they know the should subtract to get rid of the three. And by know I mean at some deeper level than "my teacher told me so"." I agree. Strongly. – Tutor Jun 12 '14 at 23:02
21

The reason we teach strategies for multi-digit operations is (in a large part) because students are learning to manipulate the symbol system we use to represent numbers, and they need to see that there is meaning behind these strings of digits. That understanding carries through not just for subtraction, but for anywhere they'll use multi-digit numbers.

To put it another way: practicing subtraction is an opportunity to learn about how these number representations are made up (their structure). They're learning how that structure yields to their desires as mathematicians.

This is precisely why teaching subtraction as a specific algorithm fails. Subtraction as a "standard algorithm" actually isn't any better than using a calculator. Both substitute a mechanism (rote steps or calculator clicking) for understanding something about the actual mathematics behind multi-digit numerical representations in a base 10 number system and its implications for performing an operation. Standard multi-digit subtraction simply makes the student into a kind of computer that follows subtraction steps.

However, if you're teaching the student ways of breaking down multi-digit numbers to make subtraction easier (understanding the base 10 number system, decomposing, manipulating, and composing a large number, and using it to your advantage) then there is a lot of actual mathematics going on, and decisions based on mathematical knowledge.

In short (and this might be obvious), the answer depends on what you're teaching.

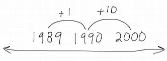
Let's say that in your classroom a student sees this:

\begin{align*} 2367 \\ -1989\\ \hline \end{align*}

... and it would not be unusual for them to respond with:

"I can make this problem simple. 1989 is really close to 2000. If I add one, I get 1990. I can add ten to that and get 2000. Ten plus one is eleven. I think of 2367 as my starting place. If I'm trying to subtract from it, I can add any number to it, as long as I remember to subtract that out again, too. So I can write the problem like this:

\begin{align*} 2367 + 11\\ -1989 + 11\\ \hline \end{align*}

"... and that's really this:

\begin{align*} 2378\\ -2000\\ \hline \end{align*}

"...which is simple. The answer is 378."

It's hard to argue against the view that:

  • This student is thinking mathematically, not just following an algorithm.
  • This student did some problem solving, involving decisions based on number sense and understanding of the place value system.
  • This student got some practice with arithmetic.
  • This is very different from what a calculator does, and difficult to say you could replace this reasoning with a calculator.

Of course, maybe your student doesn't just say this right away. Maybe there is some work going on, different representations like this along the way:

Getting from 1989 to 2000 in two decimal hops

... it doesn't really matter as long as it's good mathematical reasoning.

The point is: if the students are reasoning mathematically, that's something a calculator cannot do for them. In that case, it is a lot easier to both see and argue that the calculator is not appropriate for the activity. Other times and in other cases in math class, there are a lot of ways it is appropriate to use or explore with a calculator. But if the only thing they're doing is something that a calculator can do for them, and that's why it's hard to see why they couldn't just substitute the calculator in, that's not a problem of explaining to the student why not to use a calculator. That's a problem with what the student is being asked to do.

JPBurke
  • 7,463
  • 19
  • 50
17

People who ask why calculators don't resolve the (very low-level) issues well enough are quite accurate in their skepticism, I think, which makes it hard to present an "absolutist" defense of alternatives. For that matter, seriously (!), why is it ok to use Hindu-Arabic numerals and the weird associated algorithms, rather than "honest" manipulations of hash-marks or pebbles? (As a kid, I was required to do a bit of arithmetic in Roman numerals... ah, a lost art!?!) As a small kid, I did do quite a lot of seat-of-the-pants arithmetic by visualizing dots or marks, e.g., multiplication of small integers, while resisting memorizing multiplication tables, and even resisting, for a time, the algorithms. :)

Indeed, schools don't explain why these algorithms work, and, thus, could be claimed to exactly fail to teach "understanding". What they teach is execution of algorithms with a certain interface.

My point is that the defense of learning how to manipulate the standard algorithms with Hindu-Arabic numerals cannot be mathematical, cannot be absolutist, but can only refer to particular contexts, _if_any_, in which there is some immediate, practical advantage. Not fake in-principle advantages, not marooned-on-desert-island advantages.

In particular, it is hard to defend a claim that the standard algorithms with Hindu-Arabic numerals give "understanding" more operational than facility with a calculator. Although I once would have claimed so, I capitulated at a point when each month's bank statement had 50 checks, and my (on the whole very quick and accurate) mental or on-paper standard calculations simply had too many chances to fail... while my wife's (for professional reasons) extreme facility doing arithmetic on a calculator did truly afford a much lower error-rate. For 20 years, I have not checkbook-balanced by hand.

And, since I am essentially always near a computer, if I need to do any computation (numerical or otherwise) beyond a certain very, very low complexity, I fire up Python or Sage or...

The immediate defenses of learning the standard things are just two, and somewhat flimsy: first, many older people will judge one on this, and this (dubious) expertise will be used as a filter/weeder (as in the "do you want to be a manual laborer?" defense), and, second, for a person interested in science/technology, much older literature (and other context) assumes familiarity with such stuff, as implied context. The latter reason to pay attention is less invidious than the former.

In reality, I (as a professional mathematician) think there's scant reason to pretend, especially to small kids, that there are absolutist reasons to acquire facility in execution of visibly peculiar algorithms in manipulation of Hindu-Arabic numerals... even though "all the old people" know these things. Any sensible kid will believe anything else you say less after any kind of rant that attempts to claim that they shouldn't depend on computers, much less calculators.

A similar issue arises in having the first-year calculus be so caricatured that many different software packages, many "free/open", can do it all far better. That is, what the heck should we convert these courses to... rather than be foot-draggers and insist on a highly antique, stylized, unconnected-to-reality drill that few of the participants take seriously?

Indeed, the real problem, to my perception, is that as machines can do more and more algorithmic things, the "easy" (algorithmic) stuff that once was a fine human province is no longer available. Only more difficult things are left... and it becomes ever more difficult to pretend that we'll insist that the whole population learn lots of things that machines cannot do. An awkward situation.

Summary: I'd recommend not trying to defend any prohibition of calculators. Rather, grant calculators, and then you can ask the next level of questions. When the kid gets access to and learns how to use symbol-manipulation software, then those issues, too, are taken for granted, etc.

Yes, I know, your local curricular constraints... Still, I do often find that clearing one's head by thinking what would make sense if there were not random exogenous constraints is, first, soothing, and, second, does put the necessary compromises in perspective. :)

paul garrett
  • 14,597
  • 2
  • 33
  • 71
  • 3
    In principle, I see your point here, but, I wonder, in practice, after decades of use of TI-83 etc in our highschools, are the students really going on to the next level of graphing questions? Is there calculator-based improvement masked by other educational degradations? – James S. Cook Jun 02 '14 at 23:47
  • 3
    @JamesS.Cook, my anecdotal evidence indicates that both personnel and textbook limitations prevent conversion of "mathematical education" to an arguably higher level. As we know, anything for high schools has to be mass-produce-able, which requires near-universal teacher-training curricular reform, in the first place. Second, the "parental objection" obstacle creates a lot of noise and consumes much time+energy, as is widely documented. Perhaps the latter will change in another generation, when/if hand-execution of algorithms loses the sanctity of the past, and machines are more taken-for-... – paul garrett Jun 02 '14 at 23:51
  • 4
    ... granted. But, yes, in fact, facilitated by even the simplest graphing calculators, (engaged) kids can experience far more, with less effort, than I ever could, 50+ years ago (computing values by hand, sometimes using trig tables, plotting points...) Most of what I learned from plotting by hand, or multiplying or dividing big numbers by hand, is that it was easy to screw up, and that it was not uplifting or edifying. But there was no choice. Kids these days know much more how graphs look than aeons ago. A good thing. But how to test...? :) – paul garrett Jun 02 '14 at 23:53
  • 4
    I find this answer perfect to defend my own use of calculators. But for a person who constantly confuses $12$ and $21$ and forgets $16-9=7$, there can be not a single more horrible answer because if we promote calculators rather than demote them I do not believe that they would ever actually learn maths and then science and may not be able to really do something useful in life. – Rijul Gupta Jun 03 '14 at 06:15
  • 1
    "Indeed, schools don't explain why these algorithms work, and, thus, could be claimed to exactly fail to teach "understanding". What they teach is execution of algorithms with a certain interface." Do you really have any basis for such a grand claim? Teachers teach, not schools! My teachers taught us rather well how to understand this algorithms! and that is, in reality, to understand the meaning of "place value". "Hindu-arabic numerals" is not some random strange idea, it is deeply embedded in our culture! – kjetil b halvorsen Jun 03 '14 at 08:55
  • 3
    "Indeed, schools don't explain why these algorithms work" Frankly, when I was a child, I rarely surprised why things work. I was always interested in how they work and how to use them. And only when I got older, had loads of knowledge of "how's", I began to wonder why they appear to work. I think this would be the same for most children, so the schools/teachers don't have to teach a general kid why the addition algorithm works — but should do this only if asked. – Ruslan Jun 03 '14 at 11:54
  • [...]first-year calculus be so caricatured that many different software packages [...] can do it all far better. Only a certain fraction of freshman calc is devoted to repetitively practicing the kind of manipulations that I would consider turning to a CAS to do. The rest of your answer seems to be advocating radically redesigning math courses so that there is less emphasis on algorithms and more on concepts or higher-level reasoning. A CAS can't "do it all" when it comes to that portion of the course. And students should still be able to differentiate $x^2$. –  Jun 03 '14 at 14:23
  • @BenCrowell, I would indeed advocate redesign so that the genuine choices the students face are between differentiating $x^n$ by hand or turning to their machine. I have witnessed far too many scenarios in which perhaps 15-20 computational steps would be required, each one giving an opportunity for trivial-but-fatal error, just as with large-for-humans integer arithmetic. But/and then the "applications" have to be fake because the kids don't know much science? But/and we shouldn't attempt to "test" on "proofs", I sincerely think, because the historical enthusiasm for... – paul garrett Jun 03 '14 at 14:59
  • ... calculus was based on its utility and clarification of pre-existing issues, and the proofs are of a wildly different nature than the uses, even in application to elementary geometry. I'd sincerely advocate a much-simpler version of first-year calculus, which would be less effective as "weeder/filter", but would be less ridiculous. After all, we do argue that the ideas are simple, and we may also take the viewpoint that mathematics is more than "problem solving"? – paul garrett Jun 03 '14 at 15:06
  • @paulgarrett: I agree that freshman calc is in need of radical reform, and I agree with a lot of the other things you say. But IMO your answer makes overly broad claims and is also largely off-topic, since the question was about arithmetic. The broader issue is that biology and engineering departments want calculus to be a weeder course. If math departments refused to provide one, they would probably institute a requirement that their students learn Swahili -- anything to filter out students who are less dedicated and obedient. –  Jun 03 '14 at 17:13
  • @BenCrowell, well, the questioner did ask about the extrapolation upward... and, anyway, I'd tend to make the same sort of assertions about gradeschool math (having recently witnessed my daughter's and her friends' reactions to k-12 math...). Namely, the kids understand that they "have to" demonstrate something... but "in real life" did/do arithmetic on their phones, if at all. I don't like the "math class is fake" image. – paul garrett Jun 03 '14 at 17:19
  • @Ben I helped a good friend with Lagrangians (she's in Econ), so I'll use that as the example. Now while one can certainly focus on the mechanical aspects of the algorithm - derive functions (seriously mathematica will always be better at that than someone who had one or two calculus courses in university), etc. or we could focus on the interesting things: How it does work, understanding the concepts themselves and most importantly actually applying it to real world problems (which are suddenly feasible because complicated numbers don't face the computer much). – Voo Jun 03 '14 at 20:23
  • cont. Or we could let students spend 30 minutes doing partial derivations, solve equations, etc and hopefully they don't make an error somewhere and have to start over again. I certainly feel like the former one is more useful and more interesting at the same time. Although certainly being able to do basic math in your head is a useful skill to have, but for most other problems? Hell let computers do the mechanical work! – Voo Jun 03 '14 at 20:26
  • 2
    @RijulGupta Confusing 12 and 21 and misunderstanding subtraction are distinct problems, unaffected by whether we "promote" calculators. One must learn these basic concepts to effectively use a calculator. If he actually manages to solve problems with a calculator without understanding fundamentals, the issue lies in the problems being presented in a way that doesn't reflect the real world. If you simply ask "what is x", where "x" is verbatim calculator input, you shouldn't be surprised that no understanding takes place, and the criticism against not using the calculator is absolutely valid. – nmclean Jun 04 '14 at 16:55
  • This answer is based upon extremely optimistic assumptions about the numeracy and mathematical maturity of the OP's student. – NiloCK Jun 05 '14 at 16:09
13

All of math is a logical progression. One should master a type of calculation before turning it over to a calculator or computer. Can I multiply 4386x934754 by hand? Of course I can. And it was important to learn to do this in 4th (?) grade, but soon after, no need for long multiication or division.

Every day, I'm intrigued at the disparity between the students who rely on the calculator for the simplest of problems vs those who take pride in doing it in their heads. I can't quite claim cause and effect, but in my opinion, it's rare to find a heavy reliance on the calculator and a high mastery of the subject going hand in hand.

What's missing from the conversation so far is exactly when it becomes appropriate to use the calculator. What scares me is when a student's answer is grossly wrong and he doesn't have the skill to see that for example, a rock wont take 1000 seconds to fall from the tallest building on earth. Or that when you get a result of .84 for sin(1), you really meant to hit 2nd sin asking for inv sine to give you 90 degrees. And the calculator should be on degrees, not radians. A certain level of mastery should be required on a process before letting the calculator take over.

The above translates to "tell the student it's important to understand how to do math at each level before trusting a calculator's answer."

  • 4
    "in my opinion, it's rare to find a heavy reliance on the calculator and a high mastery of the subject going hand in hand" In my experience, the opposite usually holds true, namely that high reliance on a calculator usually goes hand in hand with high mastery of the subject, but that may just be because the people with high mastery of analysis tend to be very skilled with computers, and thus tend to outsource their useless, unenlightening grunt work away from paper and onto silicon. There may also be a generational gap at play. – DumpsterDoofus Jun 03 '14 at 22:00
  • 3
    And I've given this some thought, 3 yrs worth. I differentiate between those who master using tools vs those who use them as a crutch. Raise 'e' to a power? Of course you need the calculator. Add 8 and 5? That's a red flag. I literally (when the word meant literally) watched a student add 9 and 0 on a calculator. – JTP - Apologise to Monica Nov 01 '17 at 19:22
11

For young students especially, there is intrinsic value in all 'physical' work done with numbers, and that intrinsic value is the steady accumulation of number sense. I don't mean that kids should be endlessly crunching numbers, but a balance should be met.

Students who are moved towards calculators at the first instant that they're more convenient often end up on a slippery slope. I've seen high school students punch expressions like $\frac{4*3}{2}$ through a calculator, which betrays severe innumeracy, and is an enormous waste of time besides. If this step occurred in a more serious 'problem', then the time of punching these calculations into their calculator is also likely to have been enough to interrupt their working memory and distract their train of thought from the more abstract (and interesting) thing that they were supposed to be working on. This is an enormous problem.

It's possible to explain the difference between 'problems' and 'exercises' even to young children, and if there is good rapport, it's possible that they can be convinced to trust your judgement that prescribed exercises are for their benefit.

NiloCK
  • 4,980
  • 22
  • 41
9

I don't think there is one "right" answer to this. But one possible answer (assuming that we agree you are right!) is that you want to be able to know whether you made a mistake, or at least to recognize when things are suspicious. There's no auto-correct for subtraction on a calculator, or computer.

I usually use this argument when it comes to differentiation and integration, but the same principle applies. Naturally, this reason won't obtain in every situation, and of course you don't want to do 100-digit subtraction by hand - the calculator will be more accurate than you are, assuming you type it in right (also a necessary condition for doing it correctly by hand). Yet, the better you understand what the tool is doing, the better you will use the tool.

kcrisman
  • 5,980
  • 20
  • 42
  • 3
    100-digit calculations are not very likely to work on a handheld calculator. A computer would require using the right libraries to get an accurate answer. – jpmc26 Jun 02 '14 at 21:49
  • 100-digit calculations where one need an accurate (not approximate) answer only occurs in pure mathematics. – kjetil b halvorsen Jun 03 '14 at 08:30
  • @jpmc26 The sentence about computers is not true anymore, "big ints" are nowadays a part of standard libraries for many programming languages. – dtldarek Jun 03 '14 at 12:34
  • 1
    Yes, Sage certainly supports arbitrary stuff out of the box and I assume that is true for the proprietary folks as well. Oh, and I don't think that 100-digit precision is just used in pure math, otherwise people wouldn't ask for that precision with special functions. Error propagates... – kcrisman Jun 03 '14 at 14:48
  • @dtldarek "would require using the right libraries" I don't consider it wrong to call part of a standard API a "library;" you even call it a library yourself. =) Most programming languages require you to use some special part of the API for arbitrary precision. The "normal" types (long, double, etc.) fail at some point, certainly less than 100 digits. – jpmc26 Jun 03 '14 at 15:08
  • But I think the point was that you don't even need to use those in higher-level CAS systems. (Try this.) The original questions was presumably not referring to someone coding in C++, Java, Python, or whatever. – kcrisman Jun 03 '14 at 15:23
  • 3
    @jpmc26 Your comment is only technically correct. A similar claim would be: you need right libraries to print anything to standard output (e.g. libc is a library). You make it seem hard, while it is an easy thing to do. – dtldarek Jun 03 '14 at 15:30
  • @dtldarek The question is about why you should learn how to do things that a calculator or computer can do for you. The point I'm making is that computers (including calculators) have limitations that you need to understand, and an understanding of the real mathematics that the computer is simulating is useful in identifying and working around those limitations. It's not about the difficulty; it's about knowing what the computer does and why it does or doesn't work for particular cases. – jpmc26 Jun 03 '14 at 17:13
6

When doing a problem like 8x6, how many students do you witness adding eight sixes together?

It's been my experience that most students will instead memorize a series of reference points and skip the repetitive addition. The question then is, what is gained by spending months memorizing the results of an equation (for instance, times tables) as apposed to spending a few minutes learning how to work with a calculator?

I empathize with the argument against calculators. It's much harder to prove somebody knows what multiplication means when they can blindly punch a few numbers and get the same numeric results, but maybe that just means we have to update our tests to match current technology.

DiscOH
  • 169
  • 2
  • 5
    To be clear, do you believe the 10x10 multiplication table isn't worth memorizing? – JTP - Apologise to Monica Jun 02 '14 at 23:16
  • 3
    As a child I loved math. I loved doing it, and I loved learning it. I was fortunate enough to see the fun and application of math in areas beyond schoolwork.

    So I must have gained a lot from my mental math lessons, right? No, in truth I found I could speed up my results and increase my accuracy with a watch calculator which I kept with me at all times.

    I've been constantly calculating my whole life, and the only real use I've ever found for multiplication tables was passing elementary level math classes.

    – DiscOH Jun 03 '14 at 17:09
  • 1
    When I do 86, I double 24 in my head. Strictly speaking, I've never memorized 86. And it's never been a problem. – JPBurke Jun 03 '14 at 21:03
  • @JPBurke but if you always used a calculator you likely wouldn't have the acumen to convert 86 to (83)*(6/3) in your head first. – Dean MacGregor Jun 05 '14 at 12:07
  • @DeanMacGregor I'm not actually converting anything; I've memorized the simple rule that halving one of the factors and then doubling the product always works. I tested it over and over again with a calculator when I was very young. – JPBurke Jun 05 '14 at 12:13
  • 1
    @DeanMacGregor To be fair, yes, my understanding is more sophisticated than that now, but around 3rd grade it was simply the application of a rule. – JPBurke Jun 05 '14 at 12:17
5

When you solve problems without a calculator, you are training your mind to solve that class of problems. It warps the way you think about numbers, and forces you to abstract problems to solve them more easily and quickly, until one day they become trivial to solve in your head. Rinse and repeat for every new concept you learn in math. A calculator robs you of this experience. Learning about math isn't about solving a singular trivial problem, it's about being able to solve the next problem faster.

Kik
  • 171
  • 3
5

I think you have to separate the issue of whether the student understands numbers at all from the use of calculators. I once had the rather thankless job of trying to teach continuing studies physics to someone that was convinced that

0.5 + 0.5 = 0.10

Their answer when I pointed out to them this wasn't right - get out their calculator !! Needless to say, trying to educate this student didn't go so well. The person had never understood numbers at all, and still in their 30's didn't. It's not so much about can we use a calculator - but ensuring that the student doesn't get through by mindlessly pressing buttons and copying answers off the screen whilst having no clue whatsoever what they are doing. Unfortunately, over reliance on the use of calculators can lead to this sort of total failure of mathematical education. Once the student has masters numbers decimals and fractions, then in my opinion if they want to use calculators - let them.

camelccc
  • 219
  • 1
  • 3
  • 2
    It seems like a calculator would have been the best way of showing this student that they were wrong... – jwg Jun 04 '14 at 13:29
5

I would argue the correct way to answer this is is the same answer that one might use in teaching the foundations of any discipline. Everything starts with the basics - eventually yes, it will be easier to use the calculator, but if you never understand the basic way of thinking that all math relies on - then you will never be able to do anything with math.

Present the student with the concept that in any job, any personal endeavor they ever undertake, they may likely use some kind of math, be it algebra or basic addition/subtraction/etc. In some cases, a calculator may or may not be at hand (these days, some form of calculation device or app will likely be easily available in the developed world). Someone who has some basic grounding in mathematical concepts - a comfort with numbers - is less likely to get cheated when buying a car, a house, a microwave, a video game, and is going to be better able to cope with computers, which operate entirely on a mathematical basis.

Potatoes
  • 61
  • 1
  • Computing $3^{2^{32}}$ by hand, using algorithms learnt by rote having not the slightest clue why the results computed are right is a fine way of "learning the basics"... – vonbrand Jun 03 '14 at 00:53
  • I agree with this. Sure, there are computer theorem provers, so why try to prove anything by hand in first year undergraduate mathematics? Because you have to start with the basics. – mrr Jun 03 '14 at 11:35
  • @MilesRout perhaps one day the "automated provers" will get to point of doing the routine proofs for us (given reasonably natural-language description of the stuff to prove, or of a proof to check, or of one to fill in details) – vonbrand Jun 04 '14 at 01:41
  • 1
    @vonbrand And whether or not they do get to that point, students will still have to prove things, as they should. – mrr Jun 04 '14 at 05:52
4

Given that the time alloted to math in school is finite, I'd be glad if the children learned more meaning and how and why to sum/multiply/integrate than mindless application of rules by rote. It is certainly much harder to teach/test...

vonbrand
  • 12,306
  • 3
  • 27
  • 59
4

One point that seems worth emphasizing is that learning to perform an operation (even a mechanical and uninspiring one, like long addition/division) helps you to understand better how the the objects you operate on really work. Being able to perform addition is about a lot more than being able to magic up the sum of two numbers. It also involves knowing what would happen if you were to perform addition, without actually doing it.

Suppose you want to do something a little more exciting than add integers base 10. Suppose, for example, that you are learning about a different number system, and you want to add numbers base 3. The standard techniques for adding two numbers carry through without much modification. The approach "use a calculator" fails miserably. Suppose you want to write a computer program adding two very long integers (i.e. program the very calculator!). You have to know how you would do things, in the first place. This may fall under the heading of "learning stuff to learn more stuff", but may be useful for people who like computers, or are mature enough to learn about different bases. (I would be so bold as to suggest that mentioning different bases would be very helpful to some students in understanding the "standard" base.)

As another example, consider a situation when your input is not just a bunch of random digits, but is something more structured. For a trivial example, say you are adding $1230000000000000$ to $4560000000000000$. It may be obvious that the answer is $5790000000000000$ (i.e. the zeros stay where they are), but if it's not, then imagining you are doing long addition is a sufficient argument. A less trivial example is adding $1$ to $999999999$, or multiplying $111111111$ by $11111111$. Or you can derive the criterion for divisibility by $9$ by imagining you are performing long division, without ever using the word "modulo". Or adding two very "sparse" numbers. Or... etc, etc. To rephrase this: if you are operating on numbers that have some regularity, this can help you if you are doing things by hand. It won't if you are using a machine.

Finally, there are also a lot of problems where you are supposed to find long numbers where some digits are unknown and a single equation is given (One example I just found is to find a solution to: SEND+MORE=MONEY, where each letter is a digit; there are also simpler ones.) The only way to approach these is to know about long addition.

By the way, if you are adding two numbers, but are only interested in the digit at a given position, for whatever reason, then long addition allows you to find this digit with minimal effort. Again, calculators do not provide this.

Jakub Konieczny
  • 201
  • 1
  • 2
3
  1. Everything that’s already in the world when you’re born is just normal.

  2. Anything that gets invented between then and before you turn thirty is incredibly exciting and creative and with any luck you can make a career out of it.

  3. Anything that gets invented after you’re thirty is against the natural order of things and the beginning of the end of civilisation as we know it until it’s been around for about ten years when it gradually turns out to be alright really.

Douglas Adams

In today's times when general computing devices that often fit in our pockets are universally available this is an important question. And this is because they are effectively 'the natural order of things': a student today is unlikely to have not handled computing devices today, a sharp inversion of the general situation that obtained from the beginning of civilization (and therefore math) till about 30 years ago. So a student of today asked to do a computation is very likely — more so if they are bright — to ask the teacher:
Why do you ask me to do this repetitive boring task when I can simply ask my computer (calculator etc) to do it for me?

[I'm using 'computer' for phone, tablet, old-fashioned desktop, cloud services etc etc]

The General Answer

To be able to give a satisfactory answer is non-trivial. I guess the answer in its full generality is that computers — and their weaker cousins, calculators — are essentially mathematons. This is true historically, pragmatically and ontologically:

  • History: Church, Turing, Gödel... Babbage, Leibniz, Pascal... all were mathematicians. And their computing pioneering came from attempts to do math.
  • Ontics: At the core of a computer is a 'CPU'; at whose core is an 'ALU' which expands to 'arithmetic-logic-unit. So arithmetic (and logic) is where it starts and all the multile layers of CS abstracted over never lose this fact
  • Pragmatics: The well-rounded study of computer science needs (what CS-ists call) 'theory' which is just a specialized branch of math

I expect that this general answer is too general for the school level at which OP is asking so following I'll take an extended extract from a suggestion of an old doyen of computer algebra systems re the use of such systems for math. This can then be tailored and specialized to give more accessible and calculator-oriented answers.

Buchberger's CAS answer

In 1989, Bruno Buchberger, a pioneer of computer algebra wrote this paper: Should students learn integration rules. In this he formulated the "Blackbox-Whitebox principle" He starts by stating the situation:

It is well known that these software systems (for example, MACSYMA , SCRATCHPAD, REDUCE, MATHEMATICA , ...) provide mathematical problem solving power that outperforms students who have passed, say, the usual introductory calculus and linear algebra courses. For example, integration, the eye-catcher of our note, is much more deeply, more systematically, and, of course, much more efficiently handled in symbolic math systems than was ever possible in calculations by humans. There is no inherent limit to the scope, in breadth and depth, that symbolic math systems will be able to achieve in the future. For example, by recent advances, even theorem proving — the essential nucleus of mathematical activit — has been trivialized in certain areas of mathematics, e.g. geometrical theorem proving. In this context, I would like to call an area of mathematics "trivialized" as soon as there is a (feasible, efficient, tractable) algorithm that can solve any instance of a problem from this area.

In this sense the area of arithmetic on the natural numbers is trivialized because there exist algorithms for addition and multiplication on the natural numbers in the "symbolic representation" as decimals. (Note that arithmetic, in early stages of mathematics, was not "trivial" at all and humans who were able to perform arithmetical operations even in a limited number range were deemed to be "intelligent" far beyond average.)

The area of integrating functions described by elementary transcendental expressions (i.e. expressions involving variables, arithmetical operators, log, and exp) is trivialized: Risch's algorithm decides, in finitely many steps, whether the integral of a given elementary transcendental function is again elementary transcendental and, in the positive case, produces the expression that describes the integral. Furthermore, this algorithm, in combination with heuristic methods, is efficient and, on modern hardware, outperforms humans by orders of magnitude.

Similarly, geometrical theorem proving is trivialized: Wu's algorithm or the Gröbner basis algorithm decide in finitely many steps whether or not a given geometrical theorem that can be expressed by equational hypotheses and an equational conclusion is true or not (and, again, these algorithms work amazingly fast on quite non-trivial examples).

Given the present and future power and potential of symbolic math systems it is therefore near at hand to pose the following general question:

Should math students learn area X of mathematics when this area has been trivialized?

I think this question has a very simple answer,...

...

One extreme answer to our question is:
No, students need not learn itegration rules any more or, more generally, as soon as an area of mathematics is trivialized, math (and other) students should not be tortured with it any more.

Another extreme answer:

For math education, ignore the existence of integration software and, in general, of symbolic math software systems. [And for the OP's question — calculators!]

Buchberger goes on to argue why both these extreme answers are unsatisfactory and states his

Blackbox-Whitebox principle

I think it is totally inappropriate to answer such a question by a strict "yes" or "no". Rather, the answer depends on the stage of teaching area X.

  • In the stage where area X is new to the students, the use of a symbolic software system realizing the algorithms of area X as black boxes would be a disaster (see however the remark at the end of Subsection 3.4). Students have to study the area thoroughly, i.e. they should study problems, basic concepts, theorems, proofs, algorithms based on the theorems, examples, hand calculations.

  • In the stage where area X has been thoroughly studied, when hand calculations for simple examples become routine and hand calculations for complex examples become intractable, students should be allowed and encouraged to use the respective algorithms available in the symbolic software systems.

Example 1 (Integration) Heuristic solutions to the problem of integration (of elementary transcendental functions) give rise to a wealth of mathematical concepts, insights and techniques that are, of course, of central importance even if one knows that ultimately the problem can be handled by a software system. This is even more true if one seeks completely algorithmic solutions to the problem. The mathematics necessary for Risch's integration algorithm (e.g. Liouville theorems) goes far beyond what is normally taught in undergraduate analysis courses and, therefore, can form an extremely worthwhile block of mathematical concepts, knowledge and techniques.

As long as these concepts, theorems and techniques are new to the students they are a worthwhile subject of a curriculum. And, as long as the algorithm based on these concepts, theorems and techniques is not routine for the student, hand calculations in examples is a necessary and worthwhile actavity during education.

However, at the stage where integration theory and algorithmics is taught, algorithmic prerequisites from earlier areas as, for example, partial fraction decomposition, squarefree factorization.., should not be the subject of hand calculation but a symbolic software system should be used for this.

Rusi
  • 217
  • 1
  • 7
-1

Teaching math isn't all about teaching numbers, it's about teaching a step-by-step approach to solving larger problems. 8x6 = 48 is one thing (is this math or just retrieving memorized information?), but think about bigger problems later on with "solve for x" problems in algebra. PEMDAS is a good example: step 1, step 2, step 3, [...], you're done. Problem solving is what you're really teaching. We apply this same line of thinking to other subjects, like mechanics. If you open the hood of a car, you see lots of complex machinery. However, if you can follow directions, you can fix all sorts of things on your own. Math teaches us problem solving skills early on, unlike most other subjects.