46

It's common for majors in biology to take calculus courses, and many calculus textbooks (and calculus professors) try to cater to these students by including applications to biology.

My question is, in what specific ways is a calculus course actually helpful for biology majors?

For example, are there any courses typically taken by biology majors that involve ideas from calculus? If so, what ideas come up? Do any biology courses actually require students to take derivatives, compute integrals, or solve differential equations?

I'm also curious in what ways a two-semester calculus course could be made more helpful for biology majors. For example, would it help to cover basic multivariable functions and partial derivatives? Applications of calculus to probability and statistics? Systems of differential equations? Fourier series?

Jim Belk
  • 8,269
  • 2
  • 31
  • 62
  • 2
    @MichaelE2: There's also Lior Pachter's http://math.berkeley.edu/~lpachter/courses/Math10a/ and http://math.berkeley.edu/~lpachter/courses/Math10b/. – J W Apr 30 '14 at 05:48
  • 1
    May I suggest taking a look at http://www.amazon.com/Dynamic-Models-Biology-Stephen-Ellner/dp/0691125899. Mostly the use of calculus helps students with dynamic modeling (what the book is about) and statistical modeling. You really need to know the basic concepts of calculus to understand statistics at the level of truly thinking about your data critically and not just applying tests haphazardly (you don't need to know how to do the calculations, but you need to know enough calculus to tell the stats software what to calculate for you). – WetlabStudent May 06 '14 at 00:46
  • To drive insight, I would not just ask "in what instances is it helpful" but do some more analysis: comparing role of calculus in bio with other majors like physics, mechE, etc. (relative comparisons give insight). Another relative comparison is freshman chem versus freshman calc to bio. You can even combine the two (importance of freshman chem v calc for physics b bio. [The point is that there is not infinite time to learn things and finding a couple examples of use is not a justification for a concentration of effort. I mean, LATIN has SOME use...but I would not defend time spent on it.] – guest Apr 15 '18 at 14:10
  • If you want to be very practical (advised), I would look at future classes kids take in the bio major and see if any of them need calc (and why/where). [It will have more traction to say, you need calculus for titrations or dwell times or the like (made up examples...I really don't think ug bio needs calculus much) than if you mention some research need outside the near term needs of the student. You could also mention several nearby medical colleges (research it on their websites) and if they require calculus (most do, but the MCAT does not test it.) – guest Apr 15 '18 at 14:17

16 Answers16

42

I'm an old-school biologist (animal physiology) who works with mostly cell biologists. I sent out an email to a bunch of grad students and postdocs I work with. Here is the data so far:

  1. Senior undergrad, pharmacology major: absolutely no calculus used in biology courses. She actually laughed when I asked her.
  2. Grad student: Undergrad biophysics course used modeling with differential equations. Graduate class in systems cellular biology used modeling with differential equations.
  3. Grad student: Undergrad physical chemistry used calculus, no biology
  4. Grad student: none, other than watching some derivatives and integrals in an engineering-level physics. Suggests perhaps a course on bioinformatics might use calculus.
  5. Grad student: none. Suggests systems biology might have some.
  6. Grad student: none. Some algebra for bacterial growth curves.
  7. Postdoc: no actual calculus used, but calculus helpful for understanding diffusion of molecules in space

I will add to the list (open-source data!) as emails come in, but it seems safe to say that calculus is rarely used by biology students outside of calculus class.

Adrienne
  • 1,544
  • 10
  • 9
  • 2
    Thanks for reaching out. As Matt F. mentioned, there are some things from calculus which might be of help when working with data, multivariate functions, log transforms, shape of normal distributions. These might not be apparent as things from calculus, but can be part of a calculus curriculum. – Roland Apr 29 '14 at 21:43
  • 21
    What they do and what they should do are completely separate things. – Carl Witthoft Apr 29 '14 at 21:43
  • 12
    To add to what Carl Witthoft writes, I think there's a difference between justifiably not using math because mathematical knowledge isn't appropriate/necessary to understand/solve the problem at hand and not using it out of ignorance, when it could in fact be beneficial. – J W Apr 30 '14 at 20:52
  • 5
    I'm not surprised that the only positive response you found was differential equations modeling. Having taught that course a lot, the modeling examples fit nonlinear systems as perfectly as physics examples fit linear systems (and almost everything else in basic calculus). They felt real, not contrived. – Ryan Reich May 01 '14 at 02:50
  • Great answer. Sometimes, I feel like MESEers are grasping for a justification in the manner that Latin teachers claim how useful studying the language is. But. Even more important than learning calculus or biology is learning critical thinking. Finding some high end peculiar research justification is not the same as finding a rationale for expending time (which IS a constrained variable.) – guest Apr 15 '18 at 14:24
  • 1
    If I want to be cynical, I would say it is useful as an IQ screen. – guest Apr 15 '18 at 14:24
21

I happen to have revised our calculus syllabus for first year biology majors about one year ago (in a French university, for that matter). I benefited a lot from my wife's experience as a math-friendly biologist.

The main point of the course is to get students able to deal with quantitative models. For example, my wife studied the movement of cells under various circumstances.

A common model postulates that the average distance $d$ between two positions of a cell at times $t_0$ and $t_0+T$ is given by $$d = \alpha T^\beta$$ where $\alpha>0$ is a speed parameter and $\beta\in[\frac12,1]$ is a parameter that measures how the movement fits between a Brownian motion ($\beta=\frac12$) and a purely ballistic motion ($\beta=1$).

This simple model is a great example to show how calculus can be relevant to biology.

My first point might be specific to recent French students: first-year students are often not even proficient enough with basic algebraic manipulations to be able to do anything relevant with such a model. For example, even asking to compute how $d$ changes when $T$ is multiplied by a constant needs to now how to deal with exponents. In fact, we even had serious issues with the mere use of percentages.

One of the main point of our new calculus course is to be able to estimate uncertainties: in particular, given that $T=T_0\pm \delta T$, $\alpha=\alpha_0\pm\delta\alpha$ and $\beta=\beta_0\pm\delta\beta$, we ask them to estimate $d$ up to order one (i.e. using first-order Taylor series). This already involves derivatives of multivariable functions, and is an important computation when you want to draw conclusions from experiments.

Another important point of the course is the use of logarithms and exponentials, in particular to interpret log or log-log graphs. For example, in the above model, it takes a (very) little habit to see that taking logs is a good thing to do: $\log d = \beta\log T+\log \alpha$ so that plotting your data in log-log chart should give you a line (if the models accurately represent your experiments).

This then interacts with statistics: one can find the linear regression in log-log charts to find estimates for $\alpha$ and $\beta$. But then one really gets an estimate of $\beta$ and... $\log\alpha$, so one should have a sense of how badly this uncertainty propagates to $\alpha$ (one variable first-order Taylor series: easy peasy).

The other main goal of the course is to get them able to deal with some (ordinary) differential equations. The motivating example I chose was offered to me by the chemist of our syllabus meeting.

A common model for the kinetics of a chemical reaction $$A + B \to C$$ is the second-order model: one assumes that the speed of the reaction is proportional to the product of the concentrations of the species A and B. This leads to a not-so-easy differential equation of the form $$ y'(t) = (a-y(t))(b-y(t)).$$ This is a first-order ODE with separable variables. One can solve it explicitly (a luxury!) by dividing by the second member, integrate in $t$, do a change of variable $u=y(t)$ in the left-hand-side, resolve into partial fractions the rational fraction that comes out, and remember how log is an antiderivative of the inverse function (and how to adjust for the various constants the appeared in the process). Then, you need some algebraic manipulations to transform the resulting equation into the form $y(t) = \dots$. Unfortunately and of course, we are far from being able to properly cover all this material, but we try to get the student able to follow this road later on, with their chemistry teachers.

In fact, I would love to be able to do more quantitative analysis of differential equations, but it is difficult to teach since it quickly goes beyond a few recipes. For example, I would like them to become able to tell in a glimpse the variations of solutions to $$y'(t)=a\cdot y(t)-b \sqrt{y(t)}$$ (a model of population growth for colonies of small living entities organized in circles, where death occur mostly on the edge - note how basic geometry makes an appearance here to explain the model) in terms of the initial value. Or to be able to realize that solutions to $$y'(t)=\sqrt{y(t)}$$ must be sub-exponential (and what that even means...). For this kind of goals, one must first aim to basic proficiency in calculus.

To sum up, dealing with any quantitative model needs a fair bit of calculus, in order to have a sense of what the model says, to use it with actual data, to analyze experimental data, to interpret it, etc.

To finish with a controversial point, it seems to me that, at least in my environment, biologists tend to underestimate the usefulness of calculus (and statistics, and more generally mathematics) and that improving the basic understanding of mathematics among biologists-to-be can only be beneficial.

Benoît Kloeckner
  • 9,089
  • 27
  • 57
  • In the model of cell motion, is $d$ the average of the magnitude of the displacement? The root-mean-square distance? I would be interested in seeing this worked out in more detail. It's not obvious to me how to apply calculus to this example, since the derivative $dd/dT$ can't be interpreted as a velocity except perhaps in the case $\beta=1$. –  May 05 '14 at 03:14
  • 1
    It looks like a great course, though ambitious for first-year students. (The U.S. has plenty of students unable to deal with exponentials too.) A student who understands even the half of your syllabus before differential equations may be more mathematically sophisticated than most academic biologists. –  May 06 '14 at 01:24
  • @BenCrowell: in the model of cell motion, $d$ is indeed the root-mean-square distance. Any model involving a reasonably simple relation between variables would work here: calculus is used mostly to deal with uncertainties, and to discuss change of variables and log-log plots. – Benoît Kloeckner May 07 '14 at 15:17
  • 1
    @MattF.: this course, especially the idealized version I presented here, is indeed ambitious. However the current calculus level of academic biologists should not be taken as the target for students, but as something that needs to be improved in the future. – Benoît Kloeckner May 07 '14 at 15:20
16

Most bio majors won't need calculus in their bio classes. They will take chemistry classes in which understanding rates of change is useful, so:

  • partial derivatives will help them.

More importantly, many bio majors will work in quantitative areas in the life sciences, where data science is key. Think of developing drugs from chemical compounds, or clinical tests of drugs, or genomics. A calculus class with this in mind will definitely include:

  • The normal curve -- since the expression $$\frac{1}{\sigma\sqrt{2\pi}}\Large e^{\Large-(x-\mu)^2/2\sigma^2}$$ and its integrals, which are ubiquitous in statistical thinking, will not become natural to them in any other way.

  • Transforming data with log and exp, e.g. reading log-log plots.

  • Different ways to visualize functions, e.g. contour graphs.

  • 2
    Absolutely. Every field of science (and even the pseudo-ones like economics) should require not only Calc. but Statistics as well. – Carl Witthoft Apr 29 '14 at 21:42
  • 1
    -1, I find this answer very alarming. The fact that biology students will work with data does not mean they need to use the equation for the normal curve or attempt to integrate it! Are you a biologist / do you have any experience in this area? I guess it's possible that biologists are using these equations all the time, but I find this an extraordinary claim! – Chris Cunningham Apr 30 '14 at 00:48
  • 2
    @ChrisCunningham, you're attacking a straw man. 1) Neither the question nor my answer is about biologists. My relevant experience is talking with friends and colleagues in professional roles that biology majors often pursue. 2) I am not making the extraordinary claim you suggest. I am saying that a calculus class could help a biology major by helping them understand cumulative normals and the p-values or z-tests which depend on them. Is it so much to ask for including $\exp(-x^2)/\sqrt{2\pi}$ as an example of a way to use exponentials? –  Apr 30 '14 at 02:48
  • 2
    An observation: The latter three points are all subjects that would be at home in one form of calculus or another, but (former) students using these afterwards would probably not think of themselves as "using calculus." – Charles Staats May 02 '14 at 17:23
  • 2
    I'd like to highlight "p-values" here. You can teach students "What p-values really mean" using the concepts of integration. This will be super useful to biolgists! I work with them a lot and the ones who truly understand what a p-value is tend not to abuse statistics as much as the ones who don't. – WetlabStudent May 06 '14 at 00:39
15

I am not a biologist, and this question asks for the contribution of a biologist, nevertheless I might be contribute about the practice in our university in Budapest.

We have a special two-semester calculus-type mathematics course for biologists developed together with biology departments. The curriculum is:

  • First semester:

    • complex numbers, matrices, eigenvalues, Leslie model
    • elements of one-and higher dimensional calculus (very quickly, mostly through examples)
    • discrete dynamical systems
  • Second semester:

    • differential equations (mostly geometric theory with phase diagrams on computer), Lotka-Volterra model
    • elements of probability theory

This looks extremely quick for a mathematician but we have to solve somehow the problem that some parts of biology need deep mathematical results but there is no time to develop the theory.

Later and in the master/PhD program they can choose specialized courses held by biologists about game theory in ecology and population models (based on Lotka-Volterra type models), disease transition or tumor growth models use heavy ODE theory.

Added: Here are some links to Hungarian course materials (at least the literature is in English).

population biology

evolutionary game theory

Mat
  • 103
  • 3
András Bátkai
  • 4,239
  • 25
  • 57
  • Could you publish a link to the department, or syllabi of the courses, or some other details? I'm sure OP would appreciate them. – vonbrand Apr 29 '14 at 20:22
  • It is a bit awkward for me, but I do not find the English files only the Hungarian ones on the homepage... – András Bátkai Apr 29 '14 at 20:25
  • 2
    Could you add a link to it anyhow? A link to a page in Hungarian is more useful than no link at all. – Joe Apr 29 '14 at 21:58
8

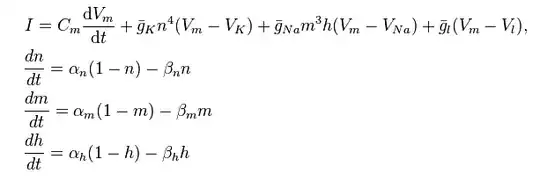
An all-inclusive neurobiology class, which is normally appropriate for upper-division undergraduates, will present the physiology of excitable membranes.

Modeling at this level can be as simple as the Nernst equation for the equilibrium potential of a particular ionic species:

enter image description here

http://en.wikipedia.org/wiki/Nernst_equation

By taking into account ion permeability, the Goldman–Hodgkin–Katz equation can be used to illustrate the reversal potential for a given membrane:

enter image description here http://en.wikipedia.org/wiki/Goldman_equation

Neither of these models uses calculus explicitly, but more advanced students (especially those who are interested in computational modeling) can be introduced to the Hodgkin-Huxley model:

enter image description here http://en.wikipedia.org/wiki/Hodgkin%E2%80%93Huxley_model

As mentioned in some of the other answers, a thorough knowledge of statistics is incredibly useful to students pursuing undergraduate research or those with plans to continue their education, but the aforementioned example is an opportunity for students to directly employ differential equations-based models in the undergraduate biology curriculum.

jonsca
  • 743
  • 1
  • 4
  • 14
7

One division of Biology that can be quite mathematical is Ecology and Evolutionary Biology. There are definitely courses that require calculus and differential equations quite similar to what you would teach an engineer for example. From what I understand this can come as quite a surprise to the biology students who go into Ecology because they like the outdoors and the plants/animals. But if you want to understand something like how it is possible that different animals can occupy what seems like the same evolutionary niche, then mathematical models really are the best way to do it.

From the University of Arizona course catalog (that link will require some clicking around, sorry):

ECOL 447 - Introduction to Theoretical Ecology Population growth and density dependence; predation; competition and apparent competition; coexistence mechanisms: niches, spatial and temporal variation; food web concepts and properties; applications. Emphasis on understanding through models and examples. Prerequisite: Calculus I

6

Some years ago I taught a one-semester course on mathematics for pharmacy students. (They also got a semester of statistics in another course.) I looked at some of the second and third-year prescribed books for the pharmacy degree and they had quite a lot of calculus in them. Physical pharmacy: rates of diffusion of various things. Interpreting the elimination of a drug given orally from the body by looking at measurements in the blood at different times: the drug goes first into the stomach and then into the bloodstream, so you end up with two coupled DEs (or even three, if some organ or tissue is acting as a reservoir). Chemistry: in pharmacy you are generally dealing with weak acids and weak alkalis, so the situation is considerably more complicated than in the usual beginning chemistry.

Certainly things like semi-log plots occurred quite a lot - not exactly calculus, but often taught with it. And we did teach the trapezoidal rule!

There wasn't any other maths/stats as such except the two one-semester courses in the Pharmacy program. They did a lot of chemistry and biology, and specialised courses on Pharmacy topics. This course was in Australia.

I'm a bit surprised at the Pharmacology major mentioned above.

And I would say that anyone who is good at both maths and biology has got some fantastic opportunities.

user1361
  • 61
  • 1
5

Differential equations are used to model e.g. predator/prey interactions in ecology, spread of diseases in epidemiology.

Much of (molecular) biology is chemical reaction kinetics, again calculus/differential equations.

[The above just as somebody with an interest in biology in general, no formal relation to the subject.]

vonbrand
  • 12,306
  • 3
  • 27
  • 59
  • Purely anecdotal, but I knew biology undergrads studying epidemiology were using some models that I never looked into but I presume were differential equations, discrete dynamic systems, or both. However, they were mostly using software to study the models, so I suppose you could argue over how much calculus they actually needed to know. It's entirely possible I (a maths undergrad) would have been unable to solve them other than by numerical methods. However, this was in the UK, US biology syllabuses might be completely different for all I know. – Steve Jessop May 01 '14 at 10:13
5
  1. Mathematics courses encourage analytical thinking in a way that may be helpful for biology majors.
  2. There is some argument that calculus ought to be more widely known within the biology community. For example, see the following infamous paper, which has gained over 200 citations according to Google scholar:

    M.M. Tai, A Mathematical Model for the Determination of Total Area Under Glucose Tolerance and Other Metabolic Curves. Diabetes Care, Vol 17, Issue 2, 152–154.

    The "mathematical model" discussed in the trapezoid rule, which is often covered in second-semester calculus courses.

Jim Belk
  • 8,269
  • 2
  • 31
  • 62
user1320
  • 75
  • 1
  • 1
    I find this offensive towards biology majors. – Mark Fantini Apr 30 '14 at 13:00
  • 1
    It might be worth mentioning that Tai's paper have been quite widely discussed on internet, for example here is related question in SE network: http://academia.stackexchange.com/questions/9602/rediscovery-of-calculus-in-1994-what-should-have-happened-to-that-paper – Martin Apr 30 '14 at 14:03
  • 6
    @Fantini I have edited this answer to improve politeness while preserving the content as much as possible. – Jim Belk Apr 30 '14 at 14:43
  • @JimBelk I have removed my downvote and turned into an upvote. – Mark Fantini May 01 '14 at 17:58
5

I know I am a little late to the party on this question, but when I read this question, I felt I could add some information of value. First, I am not a biologist, but I have taken a course in Mathematical Biology and Ecology where a wide range of topic were covered. Additionally, there are two good resources that show and discuss the math involved in Biology one is a two volume set. The books are Mathematical Biology I: An Introduction and Spatial Models and Biomedical Applications by JD Murray and Mathematical Models in Biology by Leah Edelstein-Keshet. Another book I own which isn't entire Biology based but does have Biology in it is Nonlinear Dynamics and Chaos: With Applications to Physics, Biology, Chemistry, and Engineering By Steven Strogatz.

Some of the topics may be mentioned in another post but I will still list them for completeness.

Topics that require Calculus based mathematical maturity are:

  1. Continuous Population Models for Single Species $$ \frac{dN}{dt}=\text{birth}-\text{deaths}+\text{migration} $$
  2. Discrete Population Models for a Single Species $$ N_{t+1}=N_tF(N_t)=f(N_t) $$
  3. Models for Interacting Populations \begin{align} \frac{dN}{dt}&=N(a-bP)\\ \frac{dP}{dt}&=P(cN-d) \end{align}
  4. Reaction Kinetics $$ S+E\mathrel{\mathop{\rightleftharpoons}^{k_1}_{k_{-1}}} SE\to P+E $$
  5. Biological Oscillators and Switches $$ \frac{d\mathbf{u}}{dt}=\mathbf{f}(\mathbf{u}) $$
  6. Perturbed and Coupled Oscillators and Black Holes (Not in space) $$ \frac{d\mathbf{u}}{dt}=\mathbf{f}(\mathbf{u},\lambda) $$
  7. Dynamics of Infectious Diseases: SIR models \begin{align} \frac{dS}{dt}&=-rSI\\ \frac{dI}{dt}&=rSI-aI\\ \frac{dR}{dt}&=aI \end{align}
  8. Reaction Diffusion, Chemotaxis, and Nonlocal Mechanisms $$ \frac{\partial}{\partial t}\int_Vc(\mathbf{x},t)dv=-\int_S\mathbf{J\cdot ds}+\int_Vfdv $$
  9. Oscillators-Generated Wave Phenomena and Central Pattern Generators

These next topics are a little more difficult and require knowledge of PDEs but an advanced undergrad could handle this

  1. Biological Waves: Single Species Models $$ \frac{\partial u}{\partial t}=D\frac{\partial^2u}{\partial x^2} $$
  2. The Use of Fractals
  3. Multiple-Species Waves $$ \frac{\partial\mathbf{u}}{\partial t}=\mathbf{f(u)}+D\nabla^2\mathbf{u} $$
  4. Spatial Pattern Formation with Reaction Diffusion Systems
  5. Bacterial Patterns and Chemotaxis $$ \nabla\cdot\mathbf{J}_c=\nabla\cdot[\chi(n,c)\nabla c] $$
  6. Mechanical Theory of Vascular Network Formations $$ \frac{\partial n}{\partial t}=-\nabla\cdot\frac{\partial\mathbf{u}}{\partial t} + \nabla\cdot\nabla\cdot(\mathbf{D(\epsilon)}n) $$
  7. Epidermal Wound Healing \begin{align} f(n)&=\lambda c_0\frac{n}{n_0}\frac{n_0^2+\alpha^2}{n^2+\alpha^2}\\ f(n)&=\frac{\lambda c_0}{n_0}n \end{align}
  8. Neural Models of Pattern Formations $$ \frac{\partial n}{\partial t} = f(n)+\int_Dw(x-x')[n(x',t)-1]dx' $$
  9. Geographic Spread and Control of Epidemics \begin{align} \frac{\partial S}{\partial t}&=-rIS+D\nabla^2S\\ \frac{\partial I}{\partial t}&=rIS-aI+D\nabla^2I \end{align}
dustin
  • 245
  • 3
  • 7
4

re: Senior undergrad, pharmacology major: absolutely no calculus used in biology courses. She actually laughed when I asked her. This truly unbelievable. I can find no Pharmacokinetics text that does not use AUC = Area Under the Curve, a Calculus concept if ever there was one. How can you be a pharmacologist without knowing about Bioavailability, a concept defined in terms of AUC? My guess that she just didn't realise what AUC actually meant. Sad. But this isn't just restricted to Professionals. I have seen inserts in prescription medicines, meant to be read by the uninitiated, referencing "the AUC to Infinity" (!) (I would include a scan but I don't know how to insert an image)

  • Well, many people understand in an intuitive way what Area under the Curve (AUC) means, without knowing calculus. – kjetil b halvorsen Jun 11 '17 at 10:44
  • Lots of people learn area under the curve and rate of change without a calculus sequence. It's a normal part of pre-calc courses (going back 60+ years, check out Schaum's for instance). I also saw enlisted men in the navy learning to graph reactivity, reactivity addition rate, and power without symbolic understanding of calculus (graphical intuitions). – guest Apr 15 '18 at 14:31
4

When you want to discuss the rate something happens, you will find that differential equations of calculus are helpful.

Some examples in biology:

  1. population growths: dx/dt = Rx, describes unlimited/exponential growth of a population that could be rabbits, cells, etc.

  2. kinetics of a chemical reaction: reversible [A][B] <-> [AB]. d[AB]/dt = k1*[A][B]-k2[AB] formation rate of d[AB]/dt slows as you use up [A] and [B]

larsonmattr
  • 141
  • 1
4

One important application of calculus in biology is called the predator-prey model, which determines the equilibrium numbers of predator and prey animals in an ecosystem.

It's actually an application of "differential equations" but you will need calculus to "get there."

Tom Au
  • 1,506
  • 9
  • 18
  • It's kind of cool model, but I wonder how often ecologist really use it. Furthermore, it requires and even further on course than calculus (thus more investment of time). – guest Apr 15 '18 at 14:32
3

Calculus is seldom helpful for biology majors, if "helpful" means useful in a utilitarian, professional sense. The vast majority of biology majors are going into allied health fields: they intend to be doctors, pharmacists, physical therapists, vets, optometrists, and dentists. These professions are not like engineering, in which calculus is used from day to day. Here in California, the UC system decided ca. 1997 to start requiring biology majors to take calculus-based physics. The motivation was pretty transparent: they had too many biology majors (the major was "impacted"), and they wanted to get rid of some. This is similar to the fact that in 19th century Britain, if you wanted to be a military officer, you had to pass a test on Greek and Latin.

Does this mean that future military officers have nothing to gain from learning ancient Greek, or that future dentists have nothing to gain from taking calculus? Absolutely not. It simply means that for the future dentist, learning calculus is one possible ingredient in that quaint notion of a general education. It's a way of gaining broad knowledge about the world and getting experience in varied intellectual pursuits and ways of thinking.

For comparison, it may be helpful to ask the similar question of whether biology coursework is helpful to biology majors. A lot of it clearly is not, if helpful is used in the sense of day-to-day professional utility. For example, biology majors learn about the reproduction of ferns and club mosses, which is likely to be of very little practical utility to an optometrist.

  • This is only true of professional biologists not academic ones. Most academic biologists do in fact use some concepts from calculus, even if they aren't doing calculus explicitly. – WetlabStudent May 06 '14 at 19:15
  • @MHH: I'm sure that's true, but what percentage of students getting a degree in biology become academic biologists? 1%? –  Dec 07 '16 at 06:36
2

There is at least one very good reason to know calculus as a Biologist. There was a certain paper published, I don't know the details, but could probably look it up, by a biologist to a bio journal detailing how to calculate the area under a curve by using this amazing approximation using rectangles and trapezoids. This of course was peer reviewed and hailed as a major advance for some part of bio that constantly needed to do this. The story goes on to say that the biologist knew that this came for math somewhere, but so many other biologists wanted to use the technique and needed something to cite, so he published the paper. However, the issue remains: Biologists, didn't know basic integration. I'm sure you could find this story online. I am not sure if it is valid, but I find it likely to be in part true at the very least. So being a respectable scientist is a good enough reason to learn something like calculus.

Thoth19
  • 423
  • 2
  • 7
-2

At the end of the day, all science is 'applied mathematics'...without the math supporting your observations, you greatly limit yourself in your chosen field. Can you get through life in a science career without math? Sure...if all you care about is qualitative observations. With post-trig math knowledge though (e.g.- Calculus, Differential Equations, Linear Algebra, etc)...you're provided a deeper, quantitative understanding of your chosen field.

Craig
  • 11
  • 3
    Could you make your answer more focused and provide evidence on these claims? We all agree in our heart with you, but some data is always better... – András Bátkai Apr 30 '14 at 18:58
  • Niels Bohr was most of the most influential physicists of the 20th century, with essentially no math: he relied instead on his brother Harald. So Craig, I would say yes, and @Andras, I disagree. –  May 01 '14 at 03:35
  • 4
    @MattF. What I meant was that as teachers of mathematics, we dream of a world where these claims are true, but it would be great to support them. As your example shows, it is just a dream and we should know our place. – András Bátkai May 01 '14 at 07:41
  • 2
    The question was not "Is math helpful?" but "How are the specific topics classified as 'calculus' helpful?" You didn't address "how" in the slightest. – Ben Voigt May 03 '14 at 23:35
  • Leaving aside the "didn't answer the question", which I am not so strict on, the answer doesn't show strong insight. Saying "everything depends on math" is like physicists who say "all chemistry depends on the Schroedinger Equation". But in practice, many phenomena are too complex to be addressed with QM AND are well addressed by empirical rules from organic chemistry or periodic table relationships (for inorganic) or ion packing models for solid state chemistry. You don't understand what people are doing and how they do it, if you make this comments like "it's all QM" or "it's all math". – guest Apr 15 '18 at 14:37