A helpful way to rewrite that statement would be (assuming subtraction for simplicity):
$x - y - z ⇔ x - z - y$
We are observing how swapping y and z does not change the value of the expression. While it may initially look like there is a useful property behind this, the example is showing an easy case of what you are allowed to swap. Here is a visual representation of what swaps are allowed.

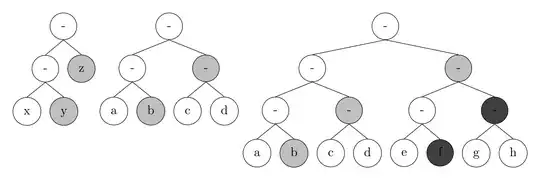
These are expression trees. The filled in circles can be swapped with other circles that are filled in with the same color. The first tree shows the original case of $x - y - z$ and shows how $y$ and $z$ can be swapped. The next tree represents $(a - b) - (c - d)$. The third tree is another full binary tree, but with twice as many variables and represents $((a - b) - (c - d)) - ((e - f) - (g - h))$. You can normalize the first tree into the second by replacing $z$ in the original expression with $z - 0$.
If you just look at the first tree it may seem like you should be able to swap children on the right side, but once you start looking at the other trees, you should notice that the pattern is no longer quite as simple. One way to describe the pattern would be that a node's right child is able to swap with that node's other child's right child. This may be more restrictive than you initially expected when comparing this property to commutativity.
I do not know a name for this property, but it is not as useful as commutativity due to the number of restrictions on being able to swap nodes. If you run into this you may want to try and find a different approach that can use commutativity such as converting subtraction into addition of negative number, or by trying to make as many nodes of the tree swapable by for example not allowing parenthesis to be used.