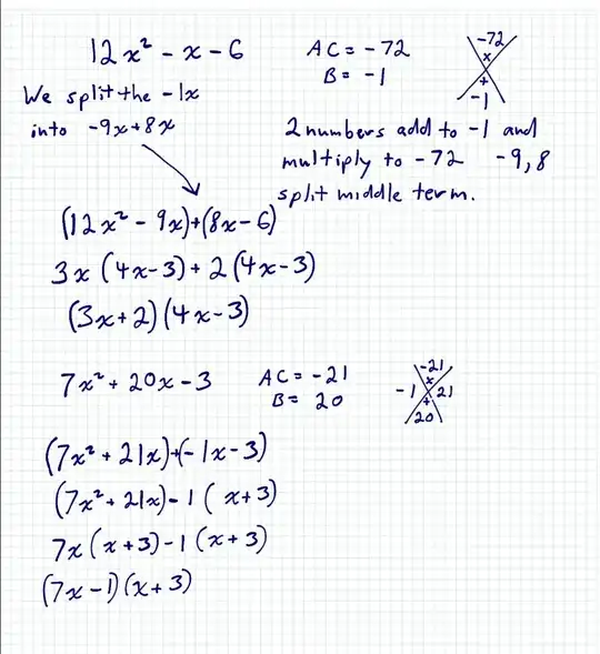
When factoring quadratic expressions $ax^2+bx+c$ it is common to the guess and check factors (AKA the cross method).
This would involve factoring $a$ and $c$ and considering particular combinations of these factors that add to $b$ taking into account the signs of $a,b,c$. This is typically presented using a cross and just the coefficients.
I am worried about this in that there seems to be no way to record what guesses have been tried, and no way to record the "checksums". See Quadratic Equations on wikipedia. (Surely this search is justified by Gauss's Lemma and won't work if the quadratic is irreducible.)
I would like a way to explicitly and concisely enumerate all possible combinations. From this, one could demonstrate heuristics to simplify the process.
Let's take the monic $x^2+5x+6$ with all positive coefficients.
One way would be to systematically list of all factors which give the correct leading coefficient and constant and chose one which gives the correct cross term. $$ (x+1)(x+6)\\ (x+2)(x+3)\\ (x+3)(x+2)\\ (x+6)(x+1) $$ From this we see the middle two give the right answer.
I have tried something like:
where the rows and columns are labelled by the factors of $c$ and the cells contain the sums. I'm unsure how this extends to negative coefficients and non-monic quadratics.


