The Markov Chains I work with are usually called in the epidemiological and in the chemistry literature "compartmental models". The most famous (from an epidemiological viewpoint) is the SIR model for infectious diseases.
SIR model
The main idea is that individuals can be classified into three groups: Susceptible (people that can get the disease), Infected (people that have the disease and are contagious), and Removed.

The main idea is that almost all individuals start Susceptible (they can catch the disease) with a handful of Infected. Considering discrete time (such as days) some infected individuals will either get better or die (hence becoming Removed) and some Susceptible will become Infected. The interesting part is how interactions between the compartments give rise to different models. Also, there are a lot (and I mean a lot) of infectious disease models that use this idea and add additional compartments (boxes in the picture or states of your chain). For example you can divide the infected into symptomatic and asymptomatic, you can divide the susceptible into vaccinated and unvaccinated, etc. A more complete account on this models can be found in Mathematical Epidemiology by Brauer.
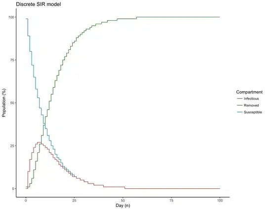
Here is a plot of what the model looks like (the simulation is done in R as explained in this blogpost)

Chronic disease models
Chronic disease models do not usually have interaction between compartments (think diabetes which is usually not contagious).The main idea is that everyone is Healthy, then gets the disease and finally dies. This models are usually done to evaluate policies (what would happen if we give medicine to everyone? or what would happen if we improve everybody's diet?). Again you can add more compartments by differentiating sexes, or age categories, body mass index, etc. You can see the paper State-Transition Modeling: A Report of the ISPOR-SMDM Modeling
Good Research Practices Task Force-3
Connections between SIR and physics
The SIR model and most infectious-disease models are related to compartmental models in physics. The associated physics models are called interactive particle systems and are quite an interesting area of research. From a physics standpoint you can read van Kampen or Gardner (which might be closer to an advanced undergraduate). A book on how the connections are made is Quantitative Sociodynamics and a graduate level (classical) book on this systems is Interactive Particle Systems by Liggett.