Yes.
From general viewpoint, learning your L1 first and being proficient at it can help you with your L2 as you can associate L2 vocab with the L1 vocab as seen with methods like the Translation Method. This though does not apply always such as the direct method, which bans the usage of L1 while learning. You can though take some learning techniques you found helpful in being proficient in your L1 and apply them to your learning of the L2.
As seen in this dowloaded PDF, L1 is a factor in L2:
According to Ellis (1994: 300), learners’ prior linguistic knowledge is an important
factor in L2 acquisition, and theories of L2 acquisition ignoring learners’ L1 cannot be
considered complete. Since the recent history of research and theories in L2 acquisition
reveals that the L1 has a two-sided role in L2 learning
Arguments for the negative effects of L1
The article mentions a counter-argument to what I have said above though, that the process of learning another language versus learning our first language is quite different and thus, the learning techniques and habits from L1 will only interfere with the learning process of the foreign language:
Learning a second language…constitutes a very different task from learning the first language.
The basic problems arise not out of any essential difficulty in the features of the new language
themselves but primarily out of the special “set” created by the first language habits
Behaviourist learning theory believes that the old habits of the L1 inevitably
interfere with the process of learning the new habits of the L2, and predicts that the
similarities between the L1 and L2 facilitate L2 learning while the differences
between the two languages lead to negative transfer and errors
Summarizing an old saying, habits can help you or hinder you. Now with a minimalist standpoint, we now get this:
…a person knows how to speak one language, say his native one; but in the early stages of
learning his new one, there are many things that he has not yet learned to do…What can he
do other than use what he already knows to make up for what he does not know? To an
observer who knows the target language, the learner will be seen to be stubbornly substituting
the native habits for target habits. But from the learners’ point of view, all he is doing
is the best he can: to fill in his gaps of training he refers for help to what he already knows.
The minimalist view though also states that:
Odlin (1989:
22) argued that although they recognized that differences existed in the success
achieved in L2 acquisition in comparison with L1 acquisition, they saw such differences
as the result of factors such as motivation, anxiety about making errors,
and the learner’s environment. The minimalist view seemed to imply that the way
children acquired their L1 was the best method of learning a language, and that L2
learners should acquire the L2 the same way as children acquired their L1, rather
than relying on their L1. Therefore, it seemed that both maximizing L2 input and
avoiding the use of the L1 were necessary in L2 classrooms. This view was indeed
common around the 1970s.
So not only from a linguist's (minimalist to be exact) standpoint is L1 vital for learning another language (in this case L2) as you should be learning your L2 like how you learned your L1, this was actually the current belief in the language learning classrooms of the 1970's.
Here we have another view which is kind of weird actually as it states:
Furthermore, unlike
behaviourists who claimed that interference was caused by negative transfer of
learners’ knowledge of their L1, Krashen and Terrell (1983: 41–42) adopted
Newmark’s ideas and interpreted interference as the result of a strategy for communication,
which learners used when they did not have sufficient knowledge of the
L2. They also believed that the disadvantages of falling back on the L1 outweighed
the advantages in the long run.
This viewpoint blames the student's lack of knowledge of the language they are learning (isn't that why they're learning) for falling back to their L1 and thus interference with the learning process. Another negative view:
Conversely, as Cook (2001: 409) said, using the L1 for classroom
interaction was considered to be ‘depriving the students of the only true experience
of the L2 that they may ever encounter’
Arguments for the positive effects of L1
Rather, it was developed to explain what took
place ‘when two languages come into contact in the bilingual brain’ (James 1996:
143), since learners were found to be often curious about the relationships between
the L2 and their L1 (Seliger 1983: 181)
This could be hard to see why this is under here but really, the learners are going back into their L1 to see what is similar between their native language and their newer language. This is technically, using your L1 to assist in learning your L2.
Later studies on CA (see, for example, James 1996; Kupferberg and Olshtain
1996, Kupferberg 1999; Doughty 1991) have been primarily concerned with
engaging learners’ attention in the differences between the L1 and L2, and raising
their cross-linguistic awareness by using cross-lingual teaching strategies, in order
to facilitate L2 learning
Really here, the author shows that the learner can fall back onto their L1 and see any differences rather than similarities when compared to their L2. This supporting arguments are further strengthened with:
James (1996: 146–147) discussed effective ways to raise learners’ crosslinguistic
awareness in L2 teaching: firstly, establishing a link between an L2 form
and its corresponding L1 form can make learners conscious of the target form, and
assist them in memorizing it, since the relationship between the L1 and L2 is often
asymmetrical; secondly, translation can be particularly effective, since two manifestations
of the L1 and L2 are juxtaposed in the act of translation and language
juxtaposition is the essence of CA.
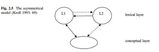
Again, linking L1 with L2 and learning based on the found links and the links that are not there (differences). With the above in mind, researchers developed the following graph:

and three other graphs to compare the lexical and conceptual levels of learning based on the first of five graphs below:

With four graphs showing how L1 can be interrelated with L2, it is now easy to show the benefits of being literate at L1 first.
In a review article published in
2000, Lantolf summarized the current state of understanding on mediation through
the L1 and suggested that ‘it does make sense to recognise that the L1 plays a key
role in helping learners to mediate each other, and … themselves, in the appropriation
of another language’ (Lantolf 2000a: 87). More importantly, he pointed out
(2000a: 87) that learners’ L2 proficiency is not the only determinant of the use of
the L1 for mediation since language is strongly implicated in their identity as
thinking beings.
The relationship between L1 and L2 acquisition is important, because it affects
L2 learning and teaching. If L2 acquisition is no different from L1 acquisition, it is
felt that L2 learning and teaching should be based on the features of child first
language acquisition. Concerning this issue, while some researchers, such as Dulay,
Burt, and Krashen, have emphasized the similarities largely based on the evidence
for developmental sequences (Odlin 1989: 21), others have pointed out that L1 and
L2 acquisition may differ in many aspects. For instance, Dodson (1972: 59) provided
a comprehensive description of the differences between L1 and L2 learners:

Given what has been presented (including the article and its information), being literate at your L1 should be beneficial towards learning a new language. Remember though, this answer is based on a study on L1 and L2 only.