We can read the original article that Kirchhoff published on Annalen der Physik und Chemie 1845, Band LXIV with the title "Ueber den Durchgang eines elektrischen Stromes durch eine Ebene ins besondere durch eine kreisformige" ("On the passage of an electric current through a plane, through a circular shape in particular")

source: Annalen der Physik und Chemie LXIV 1945 - p. 497
Unfortunately I could not find the pictures referenced in the paper, but I believe the information in the text alone can still be used to infer the following two points:
- Kirchhoff formulated his laws on the base of experiments that used localised and non-inductive forms of electromotive force.
- Kirchhoff Voltage Law, as orginally formulated, is fundamentally different from Faraday's law. In particular, the inductive EMF due to a changing magnetic flux linked by the loop could not appear among the 'electromotorischen Krafte' along the path ('auf dem Wege') as considered by Kirchhoff.
On the sources of electromotive force considered by Kirchhoff
Right from the start, Kirchhoff mentions a constant galvanic current that flows through a metallic disc, entering and exiting it by means of wires:
"Leitet man einen constanten galvanischen Strom durch eine
Metallscheibe , so wird sich die Elektricität in die ser auf eine
bestimmte Weise vertheilen . Die Art der Vertheilung kann man nach den
von Ohm aufgestellten Principien theoretisch ermitteln . Ich habe die
dazu no thige Rechnung unter der Voraussetzung , daſs der Zu stand der
Scheibe ein stationärer geworden sey , in dem Falle durchgeführt ,
daſs die Scheibe eine kreisförmige ist , und daſs die Elektricität
durch einen Draht in sie hinein , durch einen zweiten aus ihr
heraustrete."
The automatic translation from a well-known service provider was a bit approximative so I asked a German native speaker with a scientific formation to fix it. In the following the bold is mine:
"If a constant galvanic current is passed through a metal disc,
the electricity into said disc will distribute in a certain way. The
type of distribution can theoretically be determined according to the
principia established by Ohm. I have carried out the necessary
calculation on the condition that the state of the disk has become a
stationary one, for the case that the disk has circular shape, and
that the electricity enters it through one wire, and exits through a
second one."
The sources of electricity used by Kirchhoff are mentioned in several points in the paper, for example on page 509:

"Ich leitete durch die Scheibe der Strom einer constanter Hydrokette,
und beruhrte sie an zwei Punkte mit den Enden zweier Drahte, in deren
Schliefsung aufser dem Multiplicator eine schwache, auf Kupfer und
Zink gebildete, Thermokette eingeschaltet war."
Again, the automatic translation was too uncertain, but with the help of the same native German speaker and after changing 'multiplier' into 'galvanometer' (because that is what the Schweigger and Poggendorff type of galvanometer was called at the time) we get:
"I passed through the disc the current of a constant Hydrokette
[battery], and contacted it at two points with the ends of two
wires, in the loop of which a weak Thermokette [thermoelectric
element] formed on copper and zinc was switched in, onto a
[galvanometer]."
A sentence that helps in casting some light on the exact nature of the electromotive forces used in the experiments.
'Hydrokette' and 'thermokette' were also the sources of electricity used by Georg Ohm, who is mentioned at the beginning of Kirchhoff's paper, in his experiments.
Ohm experimented with galvanic cells and thermopiles in the early twenties of the nineteenth century; his theory of galvanic circuits, published in 1827 as "Die galvanische Kette, mathematisch bearbeitet" ("The Galvanic Circuit Investigated Mathematically"), was harshly criticized by Georg Pohl and ultimately led to Ohm's resignation from his academic position in 1828. (Ohm was later 'rediscovered' ex-patria in 1841 when the Royal Society in London awarded him the Copley medal as a recognition for his past accomplishments).
At the time, the sources of electricity were galvanic cells, chemical batteries and thermopiles, like the stable 'state of the art' electricity source used by Ohm to estabilish his law: a thermocouple based on the Seebeck effect.

Seebeck thermocouple with inbuilt primitive galvanometer in the form of a magnetized needle (source: http://dingler.culture.hu-berlin.de/article/pj315/ar315128)
As a matter of fact, thermokette translates into thermopile (German wikipedia - English Wikipedia).
For hydrokette, which some dictionaries translate as 'hydrocell' or 'hydro element', I have not been able to find a satisfying English definition, but I am told that "Hydrokette" or "hydroelektrische Kette" is a cell made of two metal plates of different "order" immersed into a conductive fluid. A "Constante Hydrokette" has each metal plate immersed in a different conductive fluid, the two fluids being separated by a diaphragm that allows charge carriers migration but doesn't allow the fluids to mix. It basically is an electrochemical cell.
Here is a picture from a Czech presentation showing Ohm's galvanometer and comparing Thermokette with Hydrokette in regard to Ohm's experiment (the drawing on the right might not exactly illuminating, I know, but is compatible with the assumption made)

Thermokette vs. Hydrokette in Ohm's experiment (source: https://image2.slideserve.com/4698073/hled-n-kvantitativn-ch-vztah-l.jpg)
The following shows a photograph of the galvanometer (back then called 'a multiplier') used by Ohm with a "thermokette" in place, along with a sketch of the device in use. The voltage was 'fetched' with wires connected to the two copper 'cups' at the base of the the instrument:

Actual apparatus used by Ohm and pictorial representation during its use (sources: left https://www.oocities.org/bioelectrochemistry/ohm.htm, right: https://www.youtube.com/watch?v=fk_BpXlfZ8U )
From the same source of the picture on the left:
"This apparatus was used by Ohm. Current flowing through the metal bar
in the center cylinder deflects a magnetized needle suspended above
it. The deflection angle is proportional to the current. The source of
electric potential is a thermocouple (discovered by Seebeck in 1821).
The ends of the thermocouple are heated by steam and cooled by
ice-water in the small containers on the tripods."
Not only the EMFs sources mentioned by Kirchhoff in his paper are localised, but he also made sure that the supplied electricity was constant and stable as explained from the very start of the 1845 paper (bold mine):
"I have carried out the necessary calculation on the condition that
the state of the disk has become a stationary one..."
source: Annalen der Physik und Chemie LXIV 1845 - p. 497
Use of a constant source of galvanic current in steady state conditions strongly deposes against the possibility that said paper was intended to include time-varying sources of EMF, or even the side effects of self-inductance. Moreover, there are no references to inductive electromotive forces or inductive elements anywhere in the text.
In contrast to that, when in a later paper ("Ueber die Bewegung der Elektricität in Leitern", 1857) Kirchhoff analized a circuit with self-inductance, he was very clear in mentioning "Weber's law of induction". In this 1857 paper, translated in English by P. Graneau and A. K. T. Assis for APEIRON Nr. 19 June 1994 (pp. 19-25) , Kirchhoff finds the local form of Ohm's law as (in modern notation)

where he clearly considers the total electric field Etot = - grad phi - dA/dt, as in j = sigma Etot and not the conservative component alone Ecoul = -grad phi. In the foreword to the translation the translators comment that "This is essentially Ohm’s law generalized by Kirchhoff to three dimensional conductors and to take into account the effects of self-induction."
It is also worth noting that the concept of magnetic vector potential A was introduced by Neumann in a paper published in January 1846 on volume I of the Annalen Der Physik 143 with the title “Allgemeine Gesetze Der Inducirten Elektrischen Ströme” (from this answer).
All thing considered it seems plausible that, had Kirchhoff employed inductive sources of EMF in his experiments leading to his 1845 paper, such a novel form of (time-varying) electromotive force would at least be mentioned explicitly, if not discussed at length. But this is not the case. On the other hand, on p. 510 of the 1845 paper Kirchhoff mentions again "the electromotive force of a thermopile", and on p. 513, right before stating his two celebrated laws, he writes:
"Der Strom einer starken Hydrokette theilte sich in die beiden Arme
ACB und ADB..."
That can be translated as
"The current of a strong [battery] parted its way into both arms ACB
and ADB..."
I believe I have made my point that in his original 1845 paper Kirchhoff only mentioned and used localized, stationary, and non-inductive sources of electromotive force.
Why this is relevant to the question posed here? Because localized EMF sources such as galvanic cells, voltaic batteries, thermocouples, and thermopiles, develop a voltage that can be precisely located at the device terminals (two wires) inside the branch of the circuit they are part of. This is not the case for the delocalized EMF originated by the changing magnetic flux linked by the loop in its entirety.
On what the original formulation of KVL by Kirchhoff says about the location of the sources of EMFs
This is the the original formulation of what today is known as KVL (Kirchhoff Voltage Law) or Kirchhoff Loop Rule, as written by Kirchhoff in his 1845 paper (page 513 of the linked Annalen):

Modernizing the notation (by using R instead of omega to denote the resistance, and n instead of nu for the indexes), the text reads:
2) wenn die Drahte 1, 2, n, eine geschlossene Figur bilden
R1 I1 + R2 I2 + ... + Rn In
= der Summe aller elektromotorischen krafte, die sich auf dem Wege: 1, 2, n befinden; wo R1, R2, Rn die Widerstande der Drahte, I1 I2,... die
Intensitaten der Strome bezeichnen, von denen diese durchflossen
werden, alle nach einer Richtung als positiv gerechnet.
Which translates into (bold mine)
2) if the wires 1, 2, n, form a closed figure
R1 I1 + R2 I2 + ... + Rn In =
= the sum of all electromotive forces located on the path: 1, 2, ...n; where R1, R2, ... Rn are the resistances of the wires, and I1 I2,
...In denote the intensities of the currents that flow through them,
all calculated as positive in one direction.
Automatic translation is getting better and better every day, thanks to AI progress. Google Translate's output for the original German text did not need any tweaking:

The locution "located on the path: 1, 2, n" points to sources of EMF located on the path itself, as if Kirchhoff was expressely treating localized forms of EMF. Further confirmation of this comes from a subsequent article, published in the December 1847 volume 72 of the Annalen der Physik und Chemie. The paper, published with the title "Ueber die Auflösung der Gleichungen, auf welche man bei der Untersuching der linearen Vertheilung Galvanisher Ströme geführt wird" has been translated by J. B . O'Toole and republished in IRE Transaction on Circuit Theory (IEEE Trans. CT-5, 4–7, 1958). Here Kirchhoff writes (bold and italics mine):
"Let there be given a system of n wires: 1, 2, . . . , n joined to
one another in an arbitrary fashion. If an electromotive force is in
series with each of them, the necessary number of linear equations for
the determination of the currents I1, I2, . . . , In, flowing through
the wires is found by using..."
"It follows from this, among other things, that if we choose two
wires from an arbitrary system, the current caused in one by an
electromotive force in the second is exactly equal to the current
produced in the second by an equal electromotive force in the first."
Thereby confirming he is talking about EMFs localised as series elements inserted in each branch and not about an EMF delocalized along the whole loop. Decomposing the whole loop EMF in the partial contributions along various parts of the loop would require the knowledge of the configuration of the induced electric field in the space occupied by the conductors (knowledge that was not available at the time) or the line integration of the time derivative of the vector magnetic potential A along the various curvilinear segments. Again, while it might be argued that knowledge of a mathematical entity corresponding to the vector potential A transpires from Kirchhoff's 1857 paper, such a feat would have at least required a mention, if not a full explanation.
Finally, I have also found at least one additional source confirming that Kirchhoff formulated his rules addressing localized, lumped, forms of EMF. In his Physics Education paper "Explaining electromagnetic induction: a critical re-examination. The clinical value of history in physics" (J Roche 1987 Phys. Educ. 22 91), science historian J. Roche writes:
"It was shown by G Kirchhoff (1824-87) in 1849 that localised EMFs
generally set up auxiliary electrostatic forces, by means of surface
charges, in order to establish a uniform current around the circuit
(Kirchhoff 1879 pp49-55, 1514). Since these additional fields are
conservative, the sum of the net potential differences around the
whole circuit will be exactly equal to the sum of the PDs across the
localised underlying EMFs only. This is the substance of Kirchhoff’s
second network law (Kirchhoff 1879 pp 15-16)"
In summary, not only the experimental setup employed by Kirchhoff, but also the way he expressed his laws constitute evidence that the right hand side of Kirchhoff original KVL equation collects (with due sign) the contribution of all the lumped EMF sources that are present along the path ("auf dem Wege").
Appendix: On what the localized nature of the EMF sources means for the original formulation of KVL by Kirchhoff
A common objection raised by people who believe KVL always applies, even when the electric field is not conservative, is that Kirchhoff Voltage Law was intended from its first inception to encompass all forms of electromotive forces, including the nonlocalized inductive EMF linked by the loop itself.
The reason behind this belief is that in most high school and introductory university textbooks KVL is expressed in a form applicable to lumped circuits where the sum of all kind of localized EMFs (including those from lumped transformers and induction generators) is equated to the sum of all voltage drops (including those attributed to lumped inductors).
The problem is that the inductive EMF is a very special kind of EMF that is not like other forms of EMF. For example, the voltage that is measured across the terminals of an inductor (such as a multi-turn coil) is different from the voltage computed along the conductor the coil is made of (something that by itself violates KVL in the loop formed by the coil filament and the jump at its terminals). For further information on this see Ramo Whinnery VanDuzer referenced below.
Original KVL with modern terminology
Fast forward to the twentyfirst century, where we tend to express the laws of electrodynamics in terms of relations between fields, we can see how Kirchhoff formulation of localised EMFs would be expressed today.
First, let's rewrite Kirchhoff's equation by making whatever EMFs that are on the paths 1, 2, ... n explicit by calling them emf1, emf2, ... emfn. If one branch has no localized emf in it, then the corresponding emf will be zero; the same can be said for the resistance. In its expanded form, Kirchhoff's original KVL becomes:
R1 I1 + R2 I2 + ... + Rn In = emf1 + emf2 + ... + emfn
where the emf1, emf2,... emfn are the localized electromotive forces located on the segments 1, 2, ..., n of the closed path.
Now we take the localized EMFs of each branch that are on the right hand side and we bring them on the left hand side. The change in sign reflects that different sign convention we use for generators and for passive elements.
(R1 I1 - emf1) + (R2 I2 - emf2) + ... + (Rn In - emfn) = 0
This is the modern equivalent form of KVL as Kirchhoff formulated it.
In the twentyfirst century we recognize that each term in parenthesis represents the path integral of the total electric field along each of the segments 1, 2,... n, in which the closed path (the loop) has been partitioned. Therefore, in modern terms, the original formulation of KVL says
Sum of path integral of Etot.dl along the branches of our closed figure = 0
The right hand side is zero because we have already accounted for all "der electromotorischen Krafte, die sich auf dem Wege" - all the electromotive forces on the branches 1, 2,... n - and because Kirchhoff did not consider any delocalised source of inductive EMF. Since the path integral along a closed path is the circulation, in modern notation the original form of KVL can also be written as:

circulation of Etot.dl = 0
Modern notation for KVL as formulated by Kirchhoff (i.e. using only localized EMF sources)
Note: all localized EMFs appear in the path integral on the left hand side.
Faraday's law introduces an EMF that is not on the path
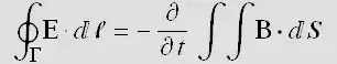
Faraday discovered, in modern terms, that the circulation of Etot.dl can be nonzero, if there is a variable magnetic flux cut by the surface formed from the closed figure 1, 2, ... n Kirchhoff was arguing about. According to Faraday's law (not Kirchhoff's law), the circulation of the total electric field along the circuit path is equal to minus the flux of the magnetic field B cut by the surface delimited by said closed path:

circulation of Etot.dl = -d/dt flux of B
Modern notation for Faraday's law in integral form showing the addition of the flux on the righ hand side. Faraday's law introduces an EMF source that does not fit into the path integral of the (total) electric field on the left.
Note that the integral on the left accounts for all the localized electromotive forces (batteries, solar cells, peltier cells, thermocouples...) present in the branches of the loop, but not for the nonlocalized inductive EMF due to the flux cut by your closed circuit, which is the novelty introduced by Faraday.
We don't need a new law for every kind of non-inductive EMF out there: they are all accountable for in the circulation integral on the left-hand side. The term on the right, on the other hand (pun intended), is a new addition that breaks the original Kirchhoff's law and considerably extends our knowledge of the electromagnetic field. In its local, differential form

curl E = - dB/dt
Faraday's law states that the electric field curls (i.e. ceases to be irrotational) in the presence of a time-changing magnetic field. This is not 'just another kind of EMF': it is a fundamental property of the electromagnetic field that has changed our understanding of electromagnetism. It is not a coincidence that Faraday's law is one of the four celebrated Maxwell equations.
The breaking of Kirchhoff's loop rule is confirmed, for example, in the second volume of Berkeley Physics: Electricity and Magnetism 3rd edition by Purcell and Morin:

Source: Purcell, Morin third edition, section 7.5
"...Kirchhoff Loop rule (which states that path integral of E.ds =
0 around a closed path) is no longer applicable when there is a
changing magnetic field. Faraday has taken us beyond the comfortable
realm of conservative electric fields. The voltage difference between
two points now depends on the path between them."
Extended KVL and its limits:
KVL is such a useful tool that it has been extended to work with AC and general dynamic circuits. Still, even in the 'modified', or 'generalized', or 'extended' version, in order to hold (and not to break other circuital laws, such as Ohm's law in its own generalized form) KVL requires that the sources of inductive EMF be lumped into components that will be located along the circuital path.
In its extended or generalized form, KVL can accept both the contributes of lumped inductive EMFs and 'voltage drops' of lumped self-inductors in the path integral on the left of the equation.
In order for extended KVL to work in a loop, it is necessary that voltages for any two points in the loop be uniquely defined. This demands for no changing flux linked by the loop itself, and in turn requires that all changing magnetic flux be confined inside the magnetic components with no appreciable leakage in the loop itself. For further information, the reader can refer to Ramo, Whinnery, VanDuzer, "Fields and Waves in Communication Electronics", third edition (chapter 4: the electromagnetics of circuits, in particular pp. 174-179). Here is a most relevant excerpt:

Source: Ramo Whinney VanDuzer, "Fields and Waves for Communication Electronics" 3rd edition, p. 179
Extended KVL works when the sources of EMF can be lumped (and therefore localised on a particular branch) and the changing magnetic flux can be hidden inside the component, but we cannot make it work when the EMF is due to the changing flux linked by the circuit path itself. That will break KVL for good, and we are forced to consider the more general law: Faraday's Law.
Note that trying to bring the delocalized inductive EMF contribution represented by the surface integral of B on the right, incorporating them inside the path integral of E on the left side in order to distribute it along the branches will alter the integrand field changing it from the total electric field Etot to the conservative part alone Ecoul of such field. This partial constituent of the (total) electric field will admit a potential function (the scalar electric potential phi) that will obey KVL but will break Ohm's law in its local form.