Why does a horizontal biconical antenna have a wider bandwidth than a dipole of similar length? What's the physics behind the biconical geometry having a bandwidth uncoupled from its length in wavelengths, as for a (near) resonant half-wave dipole.
2 Answers
Hotpaw.
In general dipole antennas with thicker elements have larger bandwidth than those with thinner elements.
The main reason is that for a given length, the rate of change in self inductance as per change in frequency of an antenna element decreases as its cross-sectional area increases, and self inductance is one of the parameters which determines the resonant frequency.
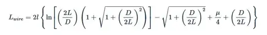
For antenna elements with a circular cross sectional area, self inductance is described by the following formula, where it is apparent that the larger the diameter the smaller the self inductance.
$L_{wire}$ is the inductance in H, $D$ is the diameter in cm, $L$ is the length in cm, $μ$ = permeability.
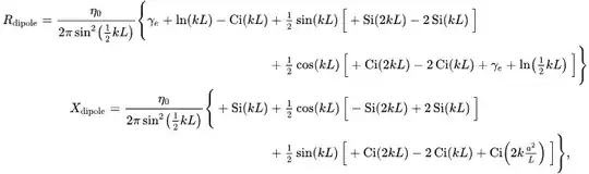
The impedance of a half wave dipole can be calculated by these next two formulas, where it's clear that self inductance is a determining factor.
$L$ is dipole length, $a$ is the radius of the conductors, $k$ is the wave number $\frac{2πf}{c}$, $η_0$ denotes the impedance of free space = 377Ω, and $\gamma_e$ is Euler's constant = 0.57721566
The Q of an antenna $Q = \frac{XL}{R}$ or $Q = \frac{2πFL}{R}$ shows that bandwidth increases with decreasing inductance, however it is the rate of change of self inductance versus change in frequency that mostly determines the actual bandwidth, which for a given length decreases with increasing element cross sectional area.
In simpler terms, if you imagine a half wave dipole element as a long thin cylindrical tube which has a cross sectional area and volume, there is a range of lengths that will 'fit' into this depending on where you measure from, eg; from center of the left end to center of the right end, or looking side on, from top left to bottom right.
So it makes sense that a thicker antenna can fit a larger range of wavelengths into it's three dimensional shape than a thinner antenna.
In theory, an infinitely thin dipole with zero cross sectional area and zero volume would have infinite self inductance and a bandwidth of zero Hz.
Hope that makes sense !
-
1But why two (hollow) cones instead of 2 fat cylinders of the same length and (end) diameter? – hotpaw2 Aug 14 '22 at 05:09
-
@hotpaw2 Probably because this may give a more suitable impedance at resonance ? Or a wire cone is easier to make than a wire cylinder .. – Andrew Aug 14 '22 at 05:11
-
1Skin effect says it doesn't matter if it is hollow. Cylinders don't work as well at higher frequencies where the cone does work, although the cylinder might have a better radiation pattern. – user10489 Aug 14 '22 at 14:07
-
1ideal dipoles (i.e., zero thickness, superconductor, perfectly straight, perfectly cut to length) do not have 0 bandwidth, so, hm! I must admit I've never understood self-inductance modelling of antennas, as it just never seems to really work with reality, but I might be missing something. – Marcus Müller Aug 16 '22 at 07:05
I read the paper Theory of Antennas of Arbitrary Size and Shape by S. A. Schelkunoff (IEEE paywall, sorry) and while a lot of it is beyond me, I think that a critical point is in section III. What it establishes is: in just the same way as a coaxial line functions as a waveguide for a linearly propagating TEM wave, with its impedance depending on the ratio of diameters, a bicone functions as a waveguide for a spherically-expanding TEM wave, with its impedance depending on the angle of the cone. Just like the characteristic impedance of coax is independent of frequency over a substantial range of frequencies, the characteristic impedance of a bicone is too.
Now the part where I get the general gist but the math goes well over my head is radiation. Free space doesn't support TEM waves. In fact free space is basically a mixture of every mode except that. So for radiation to happen, the wave in the "antenna space" has to couple to the free-space modes in a way reminiscent of a horn antenna. The paper says that this can be considered to happen at the surface of a sphere with its center at the feedpoint and its surface touching the ends of the cone. At that sphere, the wave will be partially radiated and partially reflected, as at an impedance boundary.
The paper gives a bunch of math to compute the effective impedance of that surface, which I can't even begin to summarize, but clearly it's possible to choose a cone angle so that the boundary impedance as transformed through the characteristic impedance of the bicone over the length of the elements gives a reasonable value at the feedpoint. It's not perfect (in fact the |Z| varies quite a bit more with frequency than a log periodic), and it will only be resonant (zero reactance) when the element length is near to a multiple of a quarter wavelength (modified slightly by the cone angle), but the reactance never gets too big, so it's tractable.
A discone is "half a bicone with a ground plane", so it acts basically the same as the bicone only with half as much input impedance.
- 12,322
- 16
- 31

