Both forms rely on Toblers first law of geography: things that are close are more related than things that are further apart.
IDW is the simpler of the two techniques. It involves using known z values and weights determined as a function of distances between the unknown and known points. As such in IDW points that are far away have far less influence than points that are close. The effect of the inverse distance weights have can often be determined by the user by changing the power that the inverse distance is raised to.

As seen in this diagram you can determine the limits of which data points (z values) IDW should take into consideration using a search radius.
IDW differs from Kriging in that no statistical models are used. There is no determination of spatial autocorrelation taken into consideration (that is to say how correlated variables are at varying distances is not determined). In IDW only known z values and distance weights are used to determine unknown areas.
IDW has the advantage that it is easy to define and therefore easy to understand the results. It may be inadvisable to use Kriging if you are unsure of how the results were arrived at. Kriging also suffers when there are outliers (see here for an explanation.).
ESRI states:
Kriging is most appropriate when you know there is a spatially correlated distance or directional bias in the data. It is often used in soil science and geology.
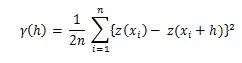
Kriging is a statistical method that makes use of a variograms to calculate the spatial autocorrelation between points at graduated distances (A nice introduction can be found here Statios Variogram Introduction and Washington Intro to Variograms). It uses this calculation of spatial autocorrelation to determine the weights that should be applied at various distances. Spatial autocorrelation is determined by taking squared differences between points. To clarify Kriging is similar to IDW in that:
Like IDW interpolation, kriging forms weights from surrounding measured values to predict unmeasured locations. As with IDW interpolation, the measured values closest to the unmeasured locations have the most influence. (Source)
But differs in that weights are helped determined by the semi variogram.

“where n is the number of pairs of sample points of observations of the values of attribute z separated against distance h” (Burrough and McDonnell, 2004: 134).

There are various different niche types of Kriging.
Further reading:
- How IDW works.
- How Kringing works:
- How to use Kriging:
- Types of Interpolation: