Sometimes it is desirable to express a number dropping the information about the last digit.
- Ich bin neunundzwanzig → Ich bin ???zwanzig.
Or
- Ja, ich habe nicht zu viel Geld ausgegeben. Nur neunundzwanzigtausend Euro
is, of course, more convincing if we could drop the neun:
- Ja, ich habe nicht zu viel Geld ausgegeben. Nur ???zwanzigtausend Euro
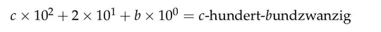
The swapping of pairs of digits in the number representation in German, with respect to the "natural" decreasing order of the powers, i.e.

makes the question tricky. For one could try, for instance, with
Etwas-zwanzig
but how to let somebody know that this etwas stands for a positive number less than 10 and not for hundreds? I mean, that could also mean 220 instead of twentysomething.
Edit: I forgot to mention that it would be nice if the answer contains a twentysomething that applies for every situation (if such a thing exists).
etwas mehr als zwanzigtausend– knut Nov 23 '13 at 15:39