When diagramming a family tree, is there a typology or visual display rule set for the new methods of creating genetic lineage: sperm, egg, uterus donors or surrogates?
-
Hi Dr Who, welcome! Interesting question! I've just updated the title to better reflect your question. – Harry V. Jan 13 '16 at 22:03
1 Answers
There is no one correct method of displaying these types of complex relationships. However, for health professionals there are some conventions that are used when producing a genogram.
The following list of diagrams and captions about genogram conventions come from the paper: Standardized Human Pedigree Nomenclature: Update and Assessment of the Recommendations of the National Society of Genetic Counselors by Bennett et al. (2008, J Genet Counsel 17:424–433).
In the following diagrams:
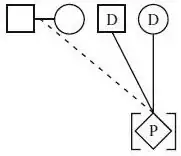
- D represents egg or sperm donor
- S represents surrogate (gestational carrier)
- P represents the pregnancy
Possible reproductive scenarios:
Sperm donor

Couple in which woman is carrying pregnancy using donor sperm. No relationship line is shown between the woman carrying the pregnancy and the sperm donor.Ovum donor

Couple in which woman is carrying pregnancy using a donor egg and partner's sperm. The line of descent from the birth mother is solid because there is a biologic relationship that may affect the fetus (e.g., teratogens).Surrogate only

Couple whose gametes are used to impregnate a woman (surrogate) who carries the pregnancy. The line of descent from the surrogate is solid because there is a biological relationship that may affect the fetus (e.g., teratogens).Surrogate ovum donor

Couple in which male partner's sperm is used to inseminate a) an unrelated woman or b) a sister who is carrying the pregnancy for the couple.Planned adoption

Couple contracts with a woman to carry a pregnancy using ovum of the woman carrying the pregnancy and donor sperm.
These conventions are primarily designed for use in a medical setting, but they can equally be used on any family tree. You may wish to add explanatory notes to your tree because I doubt these conventions are very widely understood even among genealogists. Some of the key points from this paper are:
- dashed lines are used for non-biological parent-child relationships (such as adoption)
- solid lines are used for biological relationships
- with surrogates and donors, there is no line of relationship between the biological parents, instead the lines converge directly on the child
Presumably in most cases the donor is anonymous (so not a line of ancestry a genealogist would research), but as more people are born through assistive reproductive techniques, genealogy software will have to adapt to be able to better handle complex relationships.
- 18,850
- 5
- 46
- 98