0

I get confused about academic writing. Is it grammatically correct to say:

  1. We will propose the X test.
  2. The equation (1) is used for solving the problem.
  3. The X test is defined in the equation (1).
  4. According to the equation (1), ...

I would like to know if the word "the" is used correctly. Any help would be appreciated.

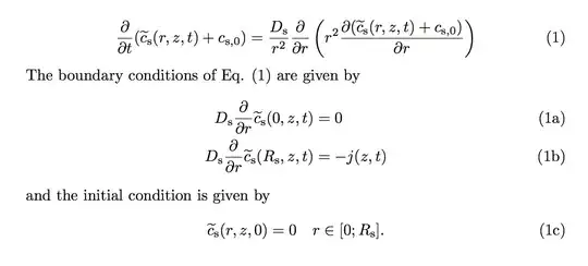
============update==============

Here is what the equation will look like(The image is from google) enter image description here

Jeff
  • 11

1 Answers1

0

You don't need the definite article when you refer to 'equation (1)" in any of your examples.

If you then refer to it without using the label you then need the article. For instance:

Consider equation (1). The equation contains a differential with respect to time.

However if you do that then the equation to which the phrase 'the equation' refers to must be unambiguously clear. As an example you can't use 'the expression' in this way

Consider the boundary conditions. In the equation r cannot take a negative value.

This does not work because you could be referring to either (1a) or (1b).

The structure is similar to the following non-mathematical examples:

My companion nodded towards a man who had just entered the hotel. "That's Smith", he said. The man went to the desk and collected his key then joined a group of other men heading for the bar. We watched as Smith entered the bar then followed him into it.

In this passage the man they were tailing is labelled as "Smith" and can be referred to as 'the man' when he goes to the desk because there is only one man identified at that point but has to be referred to as "Smith" when he enters the bar because he is then only one of a group of men.

This example isn't a perfect analogue but I hope it clarifies the reason for the use and non use of articles.

BoldBen
  • 17,171