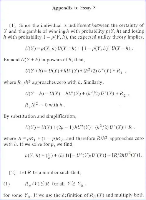
This is a question about the derivation of Arrow-Pratt relative risk aversion measure $R(w)=-\dfrac{U^{''}(w)}{wU^{'}(w)}$.
I have an own way to derive it, but I really want how did the authors themselves come up with it.
I do not own the book "Essays in theory of risk-bearing" (1971), where this has been done, and neither does the library in my university, so I can't settle this question on my own.
All I can read in online reviews is that measure was designed to stay stable under positive affine transformations, and that it's a measure of the curvature since it has the second derivative in the denominator, but that still does not answer the question of why and how the authors actually derived it.
Any help would be appreciated.
