I have done most of the legwork, but I have fallen short at the final hurdle. Could you please correct my mistake(s)?

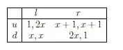
Given the condition $x>0$ I need to consider the infinitely repeated game where the above strategic form is the stage game. The discount factor: $\delta=\frac{1}{2}$.
I need to find a further condition on the game, such that we have a subgame perfect equilibrium in which both players "cooperate" in each period.
What I have done so far
The profile of strictly dominated strategies $(u,r)$ constitutes the cooperative strategy where $x>0$ and $x \ne 1$.
The prescription (cooperative strategy) will therefore be $(u,r)=(x+1,x+1)$
The grim trigger is $(d,l) = (x,x)$
Payoff from obeying the prescription:
$(x+1) + \delta(x+1) + \delta^2(x+1) +\delta^3(x+1)+... = \frac{x+1}{1-\delta}$
Payoff from deviating (here comes the mistake):
$2x + \delta x + \delta^2 x +\delta^3 x +... =\color{red}{\frac{2x-\delta(x+1)}{1-\delta}}$
The part in red should apparently be:
$$\frac{(2-\delta)x}{1-\delta}$$
I don't understand why I am wrong, could you please explain? My understanding was that if a player deviates in period 1 in order to obtain $2x$ then both players would have to play the grim trigger profile $(d,l)$ from period 2 to perpetuity. As a result, the players would be missing out on $\delta(x+1)$. The payoff numerator would therefore be $\color{red}{2x - \delta(x+1)}$ instead of $\color{blue}{(2-\delta)x}$.
Given that the correct numerator is $\color{blue}{(2-\delta)x}$, I can easily finish the question:
$$\frac{x+1}{1-\delta} \ge \frac{(2-\delta)x}{1-\delta}$$
Therefore, we would have a subgame perfect equilibrium iff $x \le 2$.
The problem is that my mistake lies in:
$2x + \delta x + \delta^2 x +\delta^3 x +...$ $=\color{red}{\frac{2x-\delta(x+1)}{1-\delta}}$
But, I'm not sure why. I would like to know why I am wrong and why $\color{blue}{(2-\delta)x}$ is the correct numerator.
Thanks.