edit: sorry, I used stack exchange first time, so I didn't know I can type python code. you can now copy and run the code.
I'm practicing solving economic model using python programming. I refer to https://python.quantecon.org/optgrowth.html and https://python.quantecon.org/optgrowth_fast.html.
I wanna solve Cass-Koopmans planning problem with bellman equation.
There is only one agent who governs all resource allocations in the economy. She produces a (single) good through a production function:
$$ y_{t} = f(k_{t}) \tag{1} $$
The good can be used for consumption and investment.
In this exercise, we introduce a partial capital depreciation, i.e. capital depreciates at the rate $0<\delta<1$ each period. Hence the resource constraint for the agent is:
$$ k_{t+1} + c_t = y_t + (1-\delta)k_t \tag{2} $$
The agent wants to maximize
$$ \mathbb E \left[ \sum_{t = 0}^{\infty} \beta^t u(c_t) \right] \tag{3} $$ subject to (2), where $ \beta \in (0, 1) $ is a discount factor.
The model is almost identical to Cass-Koopmans planning model. In order to solve this model, we will apply value function iteration algorithm. Hence, we first reformulate the maximization problem into a Bellman equation.
We can write the value function for the agent's utility maximization problem in the form of Bellman equation. In this exercise we will use capital ($k$) as state variable instead of output ($y$). The value function is defined as follows:
$$ v(k) = \max_{0 \leq c \leq y + (1-\delta)k} \left\{ u(c) + \beta v(k') \right\} \tag{4} $$ subject to $$ k' = f(k) + (1-\delta)k - c $$
This formulation takes consumption ($c$) as control variable. For the computation below we will use the next period capital ($k'$) as control variable. Then (4) can be rewritten as follows:
$$ v(k) = \max_{0 \leq k' \leq y + (1-\delta)k} \left\{ u\left(f(k) + (1-\delta)k - k'\right) + \beta v(k') \right\} \tag{5} $$
Essentially we converted the constrained maximization problem in (4) into the unconstrained maximization problem in (5).
So I made my python code:
import numpy as np
import matplotlib.pyplot as plt
from numba import njit, float64
from numba.experimental import jitclass
from quantecon.optimize.scalar_maximization import brent_max
from interpolation import interp
opt_growth_data = [('α', float64),
('β', float64),
('γ', float64),
('δ', float64),
('grid',float64[:])]
@jitclass(opt_growth_data)
class OptimalGrowth_VI:
def init(self, α=0.4, β=0.96, γ=2.0, δ=0.1, grid_max=10, grid_size=500):
self.α, self.β, self.γ, self.δ = α, β, γ, δ
self.grid = np.linspace(0.1, grid_max, grid_size)
def f(self, k):
return k**self.α
def u(self, c):
return c**(1 - self.γ) / (1 - self.γ)
def objective(self, k, kp, v_array):
f, u, β, δ = self.f, self.u, self.β, self.δ
v = lambda x: interp(self.grid, v_array, x)
return u(f(k)+(1-δ)*k-kp) + β*v(kp)
@njit
def T(v, og_VI):
v_greedy = np.empty_like(v)
v_new = np.empty_like(v)
for i in range(len(og_VI.grid)):
k = og_VI.grid[i]
lower = 1e-10
upper = og_VI.f(k) + (1-og_VI.δ)*k
result = brent_max(og_VI.objective, lower, upper, args=(k,v))
v_greedy[i], v_new[i] = result[0], result[1]
return v_greedy, v_new
def solve_model_VI(og_VI, tol=1e-4, max_iter=1000, print_skip=20):
v = og_VI.grid
error = tol+1
i=0
while i < max_iter and error > tol:
v_greedy, v_new = T(v, og_VI)
error = np.max(np.abs(v - v_new))
i += 1
if i % print_skip == 0:
print(f"Error at iteration {i} is {error}.")
v = v_new
if i == max_iter:
print("Failed to converge!")
if i < max_iter:
print(f"\nConverged in {i} iterations.")
return v_greedy, v_new
og_VI = OptimalGrowth_VI()
v_greedy, v_solution = solve_model_VI(og_VI)
plt.plot(og_VI.grid, v_greedy)
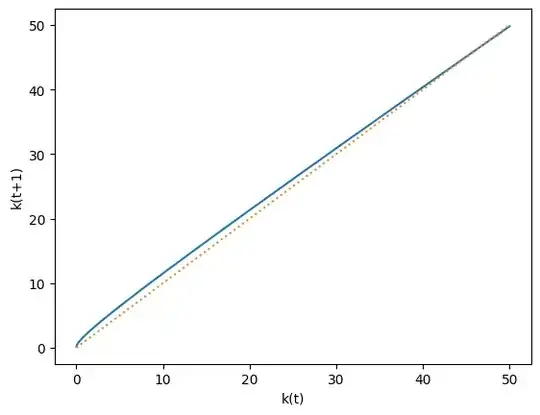
I thought that I made my code correctly, but it produced weird optimal k's graph.
Could you review my code and tell me what's wrong with my implementation? It's a nuisance, but any help would be really appreciated.

codeyou can do that by using two ` around the code . I think most people who would be willing to help won’t want to waste time copying code from pictures to try to run it to see where the problem is – 1muflon1 Apr 21 '22 at 09:26