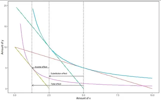
Give @Giskards comments I'll put up my answer in the comments as answer. I usually fake the data and then use my favourite plotting program. For example here is the requested income substitution graph challenge created with R and GGplot2. For completeness I add the code, but given that it's quite long I add it to the end of my answer. Added bonus of GGplot/R is that if one is well versed with it it is simple to include LaTEX annotation.

Making a similar graph in Excel is also doable. I'll admit though that Excel becomes a pain once we want multiple axes and scales, and the same probably applies to GGPlot. And of course Excel doesn't work well with LaTEX.
Code to generate graph (all parameters can be adjusted, the only thing that needs to be fixed afterwards is the vertical position of the arrows and the text).
#Packages
require(ggplot2)
#Parameters
#Using a CD utility function for convenience and because it generates easy demands
#As the A in that function is just for scaling we'll set it to 1
#Exponent on utility function
alpha <- 0.5
#Price of goods
p_x <-1
p_y <-1
#Price of x after price increase
p_x2 <-4
#Budget
M <- 10
#Basic numbers as input
df<-data.frame(x_amount=seq(0,M/p_x,by=0.1))
#Budget constraint 1 & 2 (formulated in y-x plane)
df$BC_1 <-(M-p_xdf$x_amount)/p_y
df$BC_2 <-(M-p_x2df$x_amount)/p_y
#Calculating utility for correct indifference curves
#By the marginal spending rule alpha/(1-alpha)(y/x)=p_x/p_y
#Therefore y=((1-alpha)/alpha)(p_x/p_y)x
#By the budget constraint y=(M-p_xx)/p_y
#Using that and solving gives x=(Malpha)/p_x and y=((1-alpha)M)/p_y
#Utility indifference curve 1
U1<-((Malpha)/p_x)^alpha(((1-alpha)M)/p_y)^(1-alpha)
#Utility indifference curve 2
U2<-((Malpha)/p_x2)^alpha(((1-alpha)M)/p_y)^(1-alpha)
#Indifference curve 1
df$indif1<-(U1/(df$x_amount^alpha))^(1/(1-alpha))
#Indifference curve 2
df$indif2<-(U2/(df$x_amount^alpha))^(1/(1-alpha))
#To find the final budget constraint first identify the x and y value
#To do this we set the first derivative of indifference curve 1 equal to
#the new -p_x2/p_y and find its root
f1 <- function (x) -alpha(U1/x^alpha)^(1/(1-alpha))/((1-alpha)x)+p_x2/p_y
Solution_x <- uniroot(f1,c(0.1,20))$root
Solution_y <- (U1/(Solution_x^alpha))^(1/(1-alpha))
#Determine the intercept
f2 <- function(M) M-p_x2Solution_x - p_y Solution_y
M2 <- uniroot(f2, c(0,30))$root
df$BC_3 <- M2/p_y - p_x2/p_y * df$x_amount
#Reshaped dataframe to long format
df_2 <- data.frame(x_amount=rep(df$x_amount, times=5),
y_variables=c(df$BC_1,df$BC_2,df$indif1,df$indif2, df$BC_3),
role=factor(rep( colnames(df)[2:6], each=length(df$x_amount)))
)
ggplot(data = df_2) +
aes(x_amount, y_variables,colour=role)+
geom_line(size=1)+
ylim(0,20)+
geom_vline(xintercept = Solution_x, size=1, linetype=3)+
geom_vline(xintercept = (Malpha)/p_x , size=1, linetype=3)+
geom_vline(xintercept = (Malpha)/p_x2, size=1, linetype=3)+
geom_segment(x=(Malpha)/p_x, y=3,yend=3, xend=Solution_x, colour="black", arrow = arrow(length = unit(0.25, "cm")))+
geom_segment(x=Solution_x, y=5,yend=5, xend=(Malpha)/p_x2, colour="black" ,arrow = arrow(length = unit(0.25, "cm")))+
geom_segment(x=(Malpha)/p_x, y=0.8,yend=0.8, xend=(Malpha)/p_x2, colour="black", arrow = arrow(length = unit(0.25, "cm")))+
annotate("text",x=3.2, y=3.7, label = "Substitution effect", size=3)+
annotate("text",x=1.9, y=5.3, label = "Income effect", size=3)+
annotate("text",x=3, y=1.2, label = "Total effect", size=3)+
ylab("Amount of y")+
xlab("Amount of x")+
theme(legend.position = "none",
panel.background = element_rect(fill = NA),
panel.border = element_rect(linetype = 1 , fill = NA))