I keep reading about certainty equivalence in the context of DSGE models.
I understand that it has something to do with "Getting rid of the expectation operator", but I'm not entirely sure? What exactly is "certainty equivalence" in the context of DSGE models?
Do we have certainty equivalence if the solution to a stochastic model $M_S$ is the same as the solution to the non-stochastic model $M_N$, if $M_N$ is obtained by taking the equations of $M_S$ and simply removing the expectation operator and the random shocks?
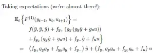
EDIT: I just read in the Dynare user manual, that a first order taylor approximation of a DSGE model has "certainty equivalence", because future shocks drop out when you take the expectation operator. Yet current shocks do not drop out, as we can see in the following equation:
Note the $u$ at the very end. This denotes the current-time shock.
So if this is a "certainty equivalent model", but we still have an exogenous shock, then what does certainty equivalence mean? Apparently it doesn't mean "the absence of uncertainty" since there is still an exogenous shock.
