Ok, after several analysis of @denesp's answer, and our subsequent chat discussion, I think I got the answer I was looking for.
As @denesp rightly pointed out, the optimisation problem yields two FOCs. These are:
\begin{equation}
\frac{w}{p} = \alpha AL^{\alpha-1}K^{\beta}
\end{equation}
\begin{equation}
\frac{r}{p} = \beta AL^{\alpha}K^{\beta-1}
\end{equation}
We can rearrange each of them, to the form $L=f(K)$. These are, respectively:
$$ L=\left(\frac{\alpha Ap}{w}\right)^{\frac{1}{1-\alpha}}K^{\frac{\beta}{1-\alpha}} $$
$$ L=\left(\frac{r}{\beta Ap}\right)^{\frac{1}{\alpha}}K^{\frac{1-\beta}{\alpha}} $$
Now, for a given parameterisation (with non-trivial $p>0$), we can plot this functions in the $\{K,L\}$ space. Additionally, we can the optimal capital-labour ratio, which comes from equalising the MRTS to the MRS. As I showed in the question, this optimal relationship is given by:
$$ L^*=K^*\left(\frac{r}{w}\frac{\alpha}{\beta}\right) $$
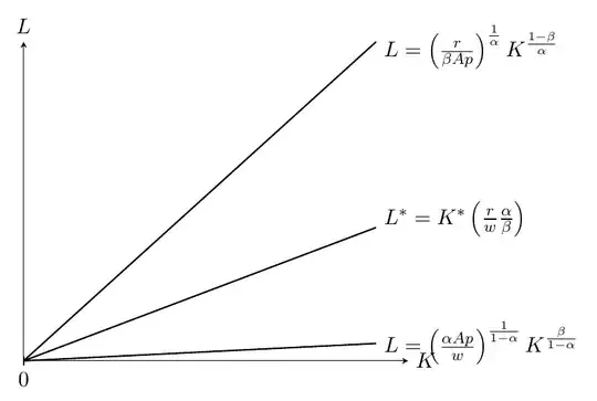
So, we can now plot the three aforementioned functions:

First, notice that there is a trivial equilibrium at $K^*=L^*=0$. Second, there is another equilibrium with positive optimal inputs and production. Naturally, this point crosses the optimal capital-labour ratio. Importantly, the level of capital and labour can be known. For example, capital is given by the formula shown in @denesp's answer.
Which equilibrium does the firm choose? As @denesp rightly noticed, the non-trivial equilibrium is preferred only if there are decreasing returns to scale ($\alpha+\beta<1$), as a positive production yield positive profits. This can be confirmed using the SOCs, or calculating optimal profits (see below). In the case of increasing returns to scale ($\alpha+\beta>1$), firms would rather not produce, as any positive level of production yield losses.
Yet, the most interesting case - and that which motivated my question - is that of constant returns to scale. It is easy to see in the graph above that under CRS, the two labour functions become linear. Do they have the same slope than the optimal capital/labour ratio? This depends on whether we are thinking from a partial or general equilibrium approach:
- Partial equilibrium: For a exogenous value of $p$, the two lines are likely to have a different slope than the capital/labour ratio. The three lines start from the origin, as shown below:

To find the equilibrium however, the graph is not entirely helpful, because the optimal choice depends on how $p$ compares with the equilibrium price $p^*$, mentioned below. If $p>p^*$, a firm will want to produce infinity, or as high as possible. Conversely, if $p<p^*$, firms will no produce at all as any positive production leads to losses.
- General equilibrium, or long run: consider the case of price above the equilibrium, $p>p^*$. Because of positive profits, more firms would like to enter the market. As such, an incumbent individual firm has the incentive to charge a lower price. This happens until the price is at the equilibrium $p^*$. This is the endogenous price which, under constant returns to scale, makes all firms indifferent to produce or not.
Conversely, if the initial price is below the equilibrium, no one produces. Therefore, there is an incentive for firms (consumers) to charge (accept) higher prices. This is until the price becomes $p^*$. Here, there are zero profits. In indifference (as always), we choose the non trivial equilibrium of positive production.
It can be shown that the equilibrium price is given by:
$$ p^* = A\left(\frac{r}{1-\alpha}\right)^{1-\alpha}\left(\frac{w}{\alpha}\right)^\alpha $$
(for example, for $A=w=r=1$ and $\alpha=0.5$, $p^*=2$)
But here is the key element of the answer. At this equilibrium price, the three linear functions shown in the above graph merge. Their slope is the same. They are indistinguishable. This means that, for the individual firm and in the general equilibrium, any level of capital and labour is optimal, as long as their ratio follows the optimal ratio defined earlier. In other words, under CRS, the level of inputs cannot be pinned down, because at any production level profits are zero. In consequence, how much to produce is irrelevant.
Notice that, by introducing the demand for this good, we could find out the aggregate demand for $Y$, which can help us to pin down the *aggregate** input level. Yet, the firm's input and output levels cannot be pinned down. In fact, firm size remains indeterminate. This is not even solved by introducing an arbitrary number of firms, unless assuming firms are identical.
A note on prices.
In the discussion with @denesp, the issue of the price level came up. For risk of misrepresenting @denesp's point, I will only show my conclusion on this. Namely, that in the general equilibrium, the sign of profits depend solely on the nature of returns to scale.
Consider the FOCs arising from the original problem. These are reproduced below:
\begin{equation}
\frac{w}{p} = \alpha AL^{\alpha-1}K^{\beta}
\end{equation}
\begin{equation}
\frac{r}{p} = \beta AL^{\alpha}K^{\beta-1}
\end{equation}
Without loss of generality, these can be rewritten as:
$$ w=p\alpha \frac{Y}{L} $$
$$ r=p\beta \frac{Y}{K} $$
The cost function is given by
$$ C(K,L) = rK + wL $$
Replacing the two factor equations in the cost function leads to
$$ C(K,L) = p\alpha Y + p\beta Y = pY(\alpha+\beta)$$
Since income of the firm is $pY$, profits are:
$$ \pi(K,L) = pY - pY(\alpha+\beta) = pY\left(1-(\alpha+\beta)\right) $$
This is, the sign (and size) of profits depend on the degree of returns to scale. This is regardless of the price level (as long as it is positive, of course, as expected for a good).
To make the point clearer, the above equation for profits it's true in the general equilibrium. This is because by replacing $w$ and $r$ for the endogenous market values, I am assuming that the factor markets are always in equilibrium.