From a mathematical point of view, a function of the form
$$Q_d = \left( \frac {A-p}{B}\right)^{1/\gamma},\;\; \gamma > 1$$
will have a negative second derivative and so it will be strictly concave (for $\gamma =1$ we get a linear demand function). The function hits the (vertical) $p$-axis for $(Q_d=0,p=A)$, and the horizontal $Q$-axis for $(Q_d = (A/B)^{1/\gamma}, p=0$). Namely this is "concave all the way", not just concave in the middle which eventually becomes convex. Typically, we expect $A>B$.
Inverting, we obtain
$$p=A-BQ_d^{\gamma}$$
Let's now go down to the individual level, and assume quasi-linear preferences in income, an appropriate formulation when we look at one good "against all others":
$$v(q,y) = u(q) + y,\;\;\; s.t. \;\;pq+y = M$$
The first-order conditions will give
$$u'(q) = \lambda p,\;\;\;\ \lambda =1$$
Combining with the inverse demand function we get
$$u'(q) = A-BQ_d^{\gamma}$$
where $Q_d = \sum q$.
Integrating we have
$$\int u'(q) dq = A\int dq - B\int \left (\sum q\right)^{\gamma}dq$$
from which we arrive at (setting the arbitrary constants of integration to zero)
$$u(q) = Aq-\frac{B}{1+\gamma}Q_d^{1+\gamma}$$
We obtained this result by assuming that the individual believes that its own demand does not affect any other individual demand. So we have a negative externality: the more "massive" is a good (the more massively demanded), the less utility we obtain from it (so any individual demand does not affect any other individual demand, but their sum, does affect the individual elements). So such a specification would be appropriate for goods that are not characterized by the "safety of the flock" aspect, but appeal to our quest for individualism and personal uniqueness.
Assume now that we do not want to have this negative externality in the individual utility. Then, we assume that all consumers are identical, and we start with the utility specification,
$$u(q) = aq-\frac{b}{1+\gamma}q^{1+\gamma}$$
This utility specification does imply that there exists a maximum utility level from the good and then utility declines, so it belongs to the general family of "quadratic" preferences.
Indicatively, for $a=100, b=10, \gamma=1.3$ we have

The indifference map is constructed by calculating
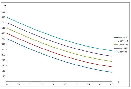
$$y = \bar v - \left[aq-\frac{b}{1+\gamma}q^{1+\gamma}\right]$$
for arbitrary values for $\bar v$ (which, in quasi-linear preferences, correspond to the income constraint).For $\bar v = M=400,450,500,550,600$ the map looks like

Such an individual utility specification will give the optimal relation
$$a - bq^{\gamma} = p$$
and the individual demand
$$q = \left( \frac {a-p}{b}\right)^{1/\gamma}$$
Summing over all $N$ consumers we get
$$Q_d = N\left( \frac {a-p}{b}\right)^{1/\gamma}$$
and we want to arrive at the market demand function
$$Q_d = \left( \frac {A-p}{B}\right)^{1/\gamma}$$
This can happen if we identify $A=a$ and $B = b/N^{\gamma}$.