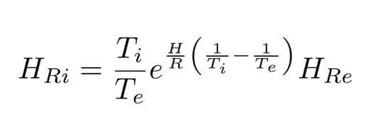
I would like to ask how to calculate the relative humidity that a heated indoor area would have using only outside temperature and outside relative humidity.
I found the Relative Humidity Calculator at https://www.lenntech.com/calculators/humidity/relative-humidity.htm. I tried to understand the source code, but I am confused with the formulas (absMoisture1, RH2) used for the calculation of relative humidity.
Please, have you ever face up to the similar problem? Many thanks in advance.

