We have a signal constellation with decision regions given in the figure below and symbols are equally likely to be transmitted.
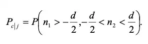
Now we have to find the average probability of error for a transmission system using this signal constellation, and the equations for the probability are as follows:
The part I'm confused is, why the ranges of n1 and n2 are different for the same region and why they are different with the ones in other region. If you could explain it to me, I would really appreciate it.



