I'm studying the quantization of an audio signal and in particular the SQNR (Signal to Quantization Noise Ratio).
The book on which the study says that:
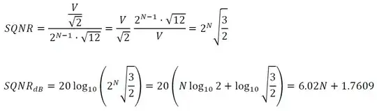
where:
- N is the number of bits in the digital representation
- V indicates that the signal voltage varies between -V and +V.
I don't understand how these calculations were carried out. Is SQNR not simply the "digital" version of the RMS? I know the RMS is calculated as power signal divided by power error, am I wrong?
