Let $S\subseteq \mathbb{R}^n$ be a convex region defined by $$g_i(x)\leq 0, ~~i\in 1,\ldots,m,$$ where $g_i$ are convex functions. The goal is to decide whether $S$ is empty, and if not - find a point $x\in S$.
In the book of Boyd and Vandenberghe (chapter 11), I found the following algorithm. Solve the following optimization problem:
$$\text{ mininize } ~~p~~ \text{ subject to } ~~g_i(x)\leq p, ~~i\in 1,\ldots,m.$$
Denote the optimal solution by $(p^*,x^*)$. If $p^*>0$, then $S$ is empty. If $p^*\leq 0$, then $x^*$ is a point in $S$ (in particular, if $p^* < 0$ then $x^*$ is in the interior of $S$; if $p^*=0$ then interior of $S$ is empty and $x^*$ is a boundary point).
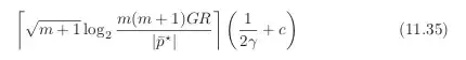
The problem is that, when $p^*$ approaches 0, the runtime complexity of solving this auxiliary problem approaches infinity; here is the exact runtime from the book of Boyd and Vandenberghe:
As you can see, $p^*$ is in the denominator. They also say that:
I would like to know what is known about the complexity of this decision problem. In particular:
- Suppose the functions $g_i$ are given explicitly (e.g. they are all polynomials with rational coefficients; this also means that they are continuously differentiable infinitely many times), and every basic arithmetic operation on real numbers takes unit time. Is there a proof that the decision problem cannot be solved in a finite number of arithmetic operations?
- Are there sub-classes of convex functions (except linear functions) for which the decision problem can be solved in finite time? In polynomial time?
EDIT: Based on the comments, it seems the question is non-trivial even in the case of quadratic programming, where all functions $g_i$ are convex quadratic functions. The Wikipedia page mentions that the problem can be solved in weakly-polynomial time using the ellipsoid method, but to use the ellipsoid method we need a lower bound on the volume of the feasible region, which is not always guaranteed.

