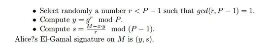
For public key $(g,b,P)$ and private key $x$ I have that...
x = 8437809068483222013573558289468531414326215630180218801941732905
P = 7339893940555892950021117953932742794751344995120378281984000000000001
g = 89
b = 4912876245630500045238873065831524614701581692824065606616840403034906
I am trying to find the random number r used in signing
M = 178197212211208201211210146110
where the (y,s) are
y = 4888362675268704701803932900979085359299230032137217762234865463825395
s = 2972754454246783222682468852246694620839545754907463463768712881658815
I am using the signature scheme here and I thought I could solve for $r=\frac{M-xy}{s} \mod (P-1)$ but I keep getting
r=6586066995309612052451381515420731372587693346972879972770753040391021
but then $y=g^r \mod P$ isn't true.
The instructions indicate:
