46

I find I always have trouble scaling the amount of time the eggs should be boiled, cooled, etc. for different-sized batches of hard-boiled eggs.

I've heard a variety of "folk lore"-type rules for how it should be done, but what's really the right way?

JustRightMenus
  • 10,847
  • 29
  • 65
  • 94
Gabriel Hurley
  • 2,220
  • 2
  • 19
  • 21

9 Answers9

41

I've never adjusted the length of time based on number of eggs. As long as the water is boiling I don't think it would take any longer to cook a dozen than to cook one (it might take the water longer to come up to boiling, I guess).

For hard boiled I normally bring them up to the boil and then turn the heat off, and leave them for 15 minutes. If you like them less well-cooked, you could reduce this to 12 minutes. Then empty the pan and re-fill it cold water a couple of times to cool them down quickly. Leave rest of them sitting in the cold water while you prepare each one.

Vicky
  • 3,472
  • 9
  • 32
  • 40
  • Totally agree. The hot-soak concept also makes it hard to overcook them. – Andres Jaan Tack Jul 13 '10 at 17:28
  • 4
    What about eggs right from the fridge vs. eggs that are at room temperature? Does the age of the eggs make any difference in the actual boiling? I hear it does affect how they peel. – John Dyer Jul 17 '10 at 01:46
  • 4
    Don't know about eggs from the fridge - round here (UK) we tend to keep them in the cupboard. The only difference the age makes is that they are more likely to crack during boiling. – Vicky Jul 18 '10 at 20:22
  • 2
    I've switched to this technique. I've found that it produces eggs that are perfectly boiled and never have that dark layer between the yolk and white -- that's an indicator that they were overcooked. ALSO: it's important to remove them from heat when you turn the heat off. You want them to get to a boil briefly and not stay there for any length of time. – jcollum Aug 04 '10 at 20:28
  • Wikipedia seems to think that age does affect "peel-ability" The fresher the hard boiled egg, the easier it peels. http://en.wikipedia.org/wiki/Boiled_egg#Peeling – BZink Jan 10 '12 at 02:40
  • From my own experience chicken eggs are very difficult to peel straight from the coop. (Especially if they are still warm). The white Sticks to the shell and you end up cutting the egg away instead. Fast cooling also helps with peeling. – Charles Beattie Jan 10 '12 at 10:11
  • 1
    Here's the American Egg Board's take on it, similar method, different times: http://www.incredibleegg.org/recipes-and-more/cooking-school/hard-boil-eggs – DHayes Jan 11 '12 at 16:21
  • Keeping the eggs in the fridge isn't a good practice, unless you put them in a sealed container. Any smell may get through the egg shell. – roetnig Apr 17 '17 at 09:27
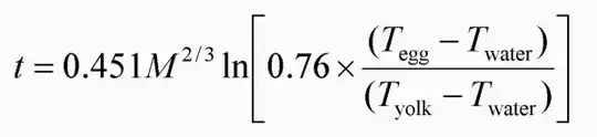
32

There is a whole science on that. Simply saying:

egg boiling formula

source: blog.khymos.org

Where:
t - time
T - temperature
M - mass in grams

While this is for soft-boiling eggs, I believe you can easily adjust it for hard-boiling.

Even an application, that cosiders all the variables, exists:

Kunsten å koke et egg - Google translated

While for me this is far more complicated, if you're interested you can read all the details in the post "Towards the perfect soft boiled egg".

mchid
  • 103
  • 4
Cornelius
  • 1,835
  • 4
  • 20
  • 19
18

I don't boil eggs enough to keep a feel for the timing... So a few years back, I picked up a handful of these.

egg perfect eggtimer

They're sold under a few different names, but the idea is the same: sturdy plastic that changes color as it heats. Drop it in with the eggs, and pull & chill them all when the color band hits the spot you're looking for.

Shog9
  • 6,572
  • 2
  • 41
  • 50
6

I'm not sure there is a definitive way to cook hard boiled eggs, but the guidelines I tend to follow are:

  • Don't cook eggs straight from the fridge, let them adjust to room temperature.
  • Don't use fast boiling water, a gentle roll is enough
  • For soft boiled eggs, place them in boiling water (enough to cover the egg by about 2cm) for one minute. Remove from the heat and cover. Leave them for approximately 6 minutes.
  • For hard boiled eggs place them in boiling water and simmer for about 6 minutes. Once done cool them as quickly as possible, by running them under cold water.

Timings may have to be adjusted slightly, depending upon the freshness of the eggs and also personal preference.

Pulse
  • 7,131
  • 1
  • 31
  • 40
3

My mother taught me this way: eggs not straight from the fridge but don’t have to be room temperature. Use a small saucepan with a lid. (However many eggs, use a saucepan big enough so the eggs don’t touch each other or the side of the pan.) Cover the eggs with fresh water & heat to boiling. When they get to a rolling boil, turn off the burner & cover the pan. Let them sit on the burner for 20 minutes. I get perfect hard-boiled eggs with this method with either electric or gas range. Running cold water over them in the pan both makes them easier to peel and stops the cooking.

J. Thomas
  • 31
  • 2
  • Welcome! This is a nice answer and we appreciate the details. (Twenty minutes would be a bit too long in my opinion, but crumbly yolks are a pet peeve of mine) – Stephie Nov 22 '18 at 18:37
  • I boiled eggs yesterday on a gas range, using this method. The yolks were done but still “creamy.” They do get a bit more done on electric—maybe remove from the burner, covered, 20 min. for creamy yolks? – J. Thomas Nov 23 '18 at 14:37
1

I steam them in my veggie basket, which holds 6-7 eggs. I read Serious Eats blog and learned this there. Uses same pot and stove as boiled, but not boiled. They recommend 12 min. Eggs are straight from fridge. I can stand the eggs so the yolk is centered for deviled eggs. They peel perdectly, which is why I now use this method. https://www.seriouseats.com/steamed-hard-boiled-eggs-recipe

Selena
  • 11
  • 2
1

Put them in the oven. It takes about 30 minutes at 325 F.

rumtscho
  • 138,730
  • 45
  • 311
  • 565
Jon
  • 19
  • 1
1

If you've got a sous vide setup you can set it for about 166ºF-ish for an hour and ensure they're cooked to perfection. However, you need to make sure that you've got it exactly that temperature as if you're too low the egg will come out runny. It's still safe, and arguably tastes better, but it's not hard boiled. In fact, this method doesn't boil the eggs at all, so I guess they're "hard cooked".

For a visual representation how minute changes in temperature changes the compositions of an egg see Figure 4.1 of Douglas Baldwin's "A Practical Guide to Sous Vide Cooking".

Pridkett
  • 179
  • 1
  • 4
  • 2
    The question was "hard boil" not "hard sous vide". I am sincerely just trying to find out how long to boil them for. This answer isn't really helpful for people who want to find out the same info asked by the original poster. – Lorel C. Nov 20 '18 at 01:04
-2

how egg boils I bought eggs identical in size from various breeds and there is no such a thing as right time to boil egg. You have to know how eggs, that you buy behave and be aware, that egg comes from raw to perfect in 30 second and from perfect to dust in next 30 seconds, so you have like 10 seconds to put all eggs in the pot at once and pay attention to removing them in same time every time you boil them. Lastly icebath. You don't want them to be ice cold, but you don't want them to be cooking any further. I gave you more questions than answers, this is why the best boiled egg is poached egg. You don't peel, you see how cooked it is, it takes ~4 minutes to boil.

Karol
  • 153
  • 1
  • 6
  • 1
    that... doesn't make any sense. eggs don't go from raw to perfect in 30 seconds. Also what's with the giant screenshot at the end of your answer? That doesn't contribute anything to the question. – Luciano Sep 21 '22 at 08:27