Currently I'm trying to reproduce the result by the academic papers Sub-pixel Shift Estimation of Image based on the Least Squares Approximation in Phase Region by Fujimoto, Fujisawa and Ikehara (Proceedings of 26th European Signal Processing Conference, EUSIPCO '16, pp. 91–95. IEEE, 2016 PDF). However there's a part that I don't understand, hope you guys could help me out!
Basically, the author uses phase to determine the subpixel shifting of two images instead the conventional way of fitting the peak POC. The overview of the method is described in this chart:
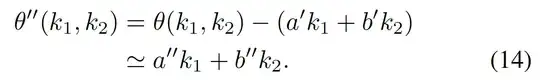
I got stuck at the subtraction junction. If you refer to the PDF file I attached, Figure 3 shows the phase over-wrap between -pi and pi, and the author proposed that the phase can be split into two components, that's the integer shift and decimal shift so that the phase can be smoother out as shown in Fig. 4. This is where I don't understand, according to the Eqn. 14, the decimal phase could be obtained via:
This is where things get confused, the subtraction of (a'k1 + b'k2) gets me nowhere. The author said that the value of a' and b' (the slopes) is obtained via the conventional POC (paragraph above Eqn. 14). My question is, how? I could retrieve the integer shift using the cross power spectrum, but not the slopes. Hope you guys could help me out! I got stuck for months!
If the information provided is not adequate, let me know and I'll do my best! Thanks in advance!

