- envmap.pdf | An Efficient Representation for Irradiance Environment Maps
- Spherical Harmonics and applications in real time graphics
I am using Spherical Harmonics to turn reflective(mirror like) cube map to diffuse light cube map.
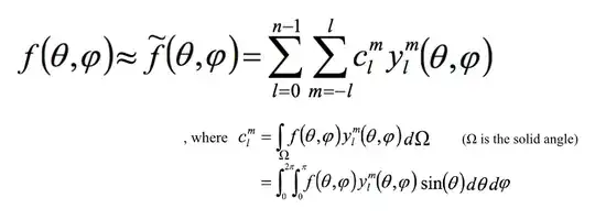
From what I understand for an image, I calculate 9 coefficient(for red green blue) that describes the color of the cube map.
The nine coefficients are this...
And when you visualize them they become...
Then I do something with these coefficients to get color of the cube map.
The part that I am not understanding is using an image to get that 9 coefficients. All the papers kinda assume that you somehow got that coefficient calculated because it is "easy".
I don't know how to do that calculation.
Update
So while I were looking at Spherical Harmonic Lighting | Simon's Tech Blog
So now I know that the mysterious yellow part of the equation was "solid angle related". I do know how to do solid angle but I still don't understand how to do it.


