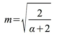
Most modern renderers use physically-based materials and their models are often parameterized over roughness. Since this wasn't always the case with renderers, conventional assets often don't have a notion of roughness. Instead, we see "shininess" or "specular power" as a common material parameter.
I understand that there is no exact conversion between the two, but is there a rule-of-thumb / approximate way to get roughness for a material whose specular power or shininess is known?
