I thought given the challenge, it was only fair that I 'wasted' some time thinking about this myself. The following route is hopefully plausible, even if not 100% thought through. Comments welcomed, and hopefully provides some competition to Ortho's great attempt.
Strategy and retrosynthesis
The synthesis proposed here disconnects fluvastatin into two main components: an indole core, and a side chain containing the stereocentres.
Fragment union is proposed to take place via selective cross metathesis (mainly because @Orthocresol made use of a HWE and I thought some variety would be nice [though seriously, cross metathesis is great for not having to use pre-functionalised precursors]).
The indole core itself is proposed to be brought together using a modern variant of a Bischler Indole synthesis by cyclisation of a linear precursor under L.A. conditions, avoiding the potential regioselectivity issues of many indole syntheses involving carbonyl condensations.
For the side-chain, a vinylogous Mukaiyama aldol reaction should provide the required stereochemistry, using a copper-bisoxazoline catalyst to control the absolute facial selectivity.
Synthesis of the Indole core
Starting from commercially available fluorobenzene 1 (Aldrich: 500G/16.30GBP) a Friedel Crafts acylation using the ethylene glycol (Aldrich: 1000mL/52.60GBP) derived acyl chloride in the presence of a Lewis acid catalyst could be carried out to give the acylated ring 2. Regioselectivity of the Friedel-Crafts is well precedented based on directing effects of the fluorine, with the 4-position both activated electronically and sterically most accessible. Due to the availability of the starting materials, poor regioselectivity at this stage not crucial, and the isomers could be separated.
Subsequent cleavage of the PMB under oxidative conditions furnishes the free alcohol 3 which may undergo an Appel-type iodination (could also do a Finkelstein via formation of the tosylate), displacement, and reductive amination with acetone to provide the indole precursor 6.
Upon treatment with a Lewis acid catalyst and heat, 6 should undergo (what I think I can call) a Bischler indole synthesis to furnish the indole core of fluvastatin 7, via this method no regioselectivity issues arise, since the two reacting partners are tethered together, with only the 5 membered ring being favoured.
Failing the milder Lewis acidic conditions, polyphosphoric acid (PPA) is common, and given the lack of delicate functionality in the molecule, this should pose no issue.

Completion of the synthesis
With the indole core 7 in hand, functionality must be installed at the 2-position. Standard Vilsmeyer-Haack conditions afford aldehyde 8 which may undergo Tebbe olefination (or similar) to provide a terminal olefin 9 capable of undergoing (E) selective cross metathesis with side chain 18 (synthesis described below). Final ester saponification using NaOH provides the sodium salt of Fluvastatin 11.

Stereoselective synthesis of the side-chain
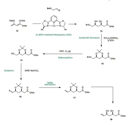
The crucial step of this synthesis is the setting of the 1,3-syn diol with complete absolute and relative stereochemistry.
Chan's diene 12 has been shown to undergo enantio- and diastereo-selective Mukaiyama aldol reaction to furnish the 1,3-syn diol 13 using a copper-bisoxazoline catalyst. Protection of the diol as the acetonide, reductive debenzylation, DMP oxidation and Tebbe olefination then affords the required terminal olefin 18 for the planned cross metathesis.

Conclusion
Based on the proposed synthesis, Fluvastatin Sodium 11 would be synthesised in 19 steps overall, with 13 steps in the longest linear sequence.
O=C(C[C@H](C[C@H](/C=C/C(N1C(C)C)=C(C2=CC=CC=C21)C3=CC=C(F)C=C3)O)O)Oand InChIInChI=1S/C24H26FNO4/c1-15(2)26-21-6-4-3-5-20(21)24(16-7-9-17(25)10-8-16)22(26)12-11-18(27)13-19(28)14-23(29)30/h3-12,15,18-19,27-28H,13-14H2,1-2H3,(H,29,30)/b12-11+/t18-,19-/m0/s1– orthocresol May 23 '17 at 23:26