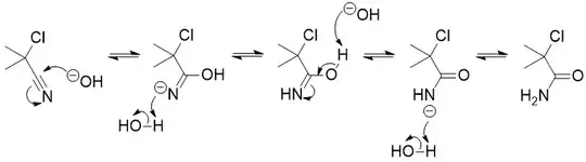
In Corey's 1969 prostaglandin synthesis,1 compound 2 is formed from compound 1 by:
[...] treatment with 2.5 equiv of potassium hydroxide (added as a hot saturated aqueous solution) in dimethyl sulfoxide for 14 hr at 25-30°.
Can anybody explain the mechanism of this reaction? I thought of an $\mathrm{S_N2}$ reaction, followed by nitrile hydrolysis and elimination of $\ce{CO2}$. But $\mathrm{S_N2}$ there seems impossible, and the elimination of HCl should be more reasonable than decarboxylation.
Reference
(1) Corey, E. J.; Weinshenker, N. M.; Schaaf, T. K.; Huber, W. Stereo-controlled synthesis of dl-prostaglandins F2α and E2. J. Am. Chem. Soc. 1969, 91 (20), 5675–5677. DOI: 10.1021/ja01048a062.




