An oligosaccharide is a carbohydrate formed by two or more monosaccharides.
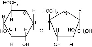
If both monosaccharides are pyranose types, they can bond through ($\alpha$ or $\beta$)1-4 or ($\alpha$ or $\beta$)1-6. If one monosaccharide of them is of furanose type, they can bond through ($\alpha$ or $\beta$)1-2.
Examples:
or
- Is any other type of glycosidic bond type between monosaccharides in oligosaccharides that occurs naturally not in the lab?

