I understand that water itself would not work as aspirin is not very soluble in water but Why not just use 100% ethanol?
Asked
Active
Viewed 1,454 times
0
-
Because you can't hydrolyze something without water. – SendersReagent Apr 16 '16 at 21:54
1 Answers
1
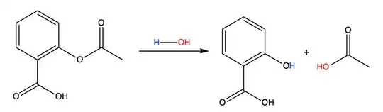
Hydrolysis means to break something apart (e.g. chemical bonds) with water.
If there's no water, there's no hydrolysis.
orthocresol
- 71,033
- 11
- 239
- 410
-
2Also the ethanol is needed to solubilise the aspirin which is not very soluble in water. – Technetium Apr 17 '16 at 02:14
