My basic knowledge about nomenclature is: A mineral acid is called hypo when it has one less oxygen than the original one,
Question 1
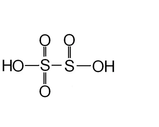
I was taught in my class that this structure:

is correct because when we are drawing structures of a hypo-,per-,meta- or pyro- oxyacid, one must try to maximise the covalency.
Why is that so?
Also, usually in pyro- acid we find a $\ce{M-O-M}$ bond where $\ce{M}$ is the central atom(s). Like $\ce{P-O-P}$ in pyrophosphoric acid as show below:

Then shouldn't the structure of pyrosulfurous acid be like this: 
Why is the structure not similar to pyrophosphoric acid?
Question 2
We know that in hypo-acids, there is one less $\ce{O}$ in the empirical formula of the acid i.e. Hypophosphoric acid should have one less $\ce{O}$ than in $\ce{H3PO4}$ i.e. it should be something like $\ce{(H3PO3)_$n$}$. If we put $n=2$ we have $\ce{H6P2O6}$.

But why is its formula $\ce{H4P2O6}$?
I might lack some information about it or maybe I've understood the concept wrong. Please help.