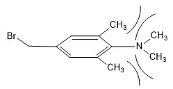
In the second compound, steric repulsions (denoted by the curly lines) between the N-methyl groups and the methyl groups on the ring occur:

This forces the $\ce{-NMe2}$ group to rotate such that the nitrogen lone pair is no longer parallel to the ring's $\pi$ system. As a result, the nitrogen lone pair can no longer contribute to the mesomeric stabilisation of the second carbocation.
The rate of solvolysis therefore increases in the order: $2 < 1 < 3$. The effect described above is called "steric inhibition of resonance".
A similar effect is observed in azo coupling:

In the second reaction, the nitrogen lone pair is not delocalised into the ring and the ring is therefore not nucleophilic enough to attack the diazonium ion.