The susceptibility of a benzene ring to electrophilic attack depends on the type and number of groups bonded to the ring.
Activating groups donate/release electrons and increase the electron density in the benzene ring and so render it more vulnerable to electrophilic attack.
Deactivating groups do the opposite, withdrawing electrons and reducing electron density in the ring.
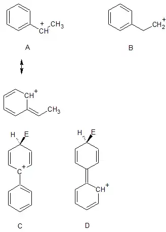
The phenyl group is said to be weakly activating, suggesting that it donates electrons to a benzene ring bonded to it.

One possible explanation I can think of is that phenyl group donates electrons through resonance with the other ring and it therefore increases electron density to a greater extent relative to hydrogen, which is the reference point for activating ability.
