Addendum 14-5-2017
Please read ron's answer! I went out on a limb writing this, and while there's probably no fault in my logic itself, it's worth remembering that chemistry is fundamentally an experimental science.
A lot of chemistry is concerned with rationalising experimental data, and developing models with predictive power that we can apply to other unknown reactions. In the absence of experimental data, it is often possible to come up factors supporting "X > Y" as well as factors supporting "Y > X". A priori, it is impossible to tell which factor dominates. You can already see in the comments on this answer that there are multiple factors that must be considered in this question.
Often chemists have an intuition as to which factor is more important, but the final word will always come from experiments. ron's answer which describes the observed regioselectivity in protonation of phenylacetylene is therefore superior.
(Note that I consider computational calculations to be experimental data as well.)
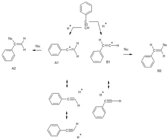
Let's call the carbocations A and B because typing "the first carbocation" gets quite tiring (it has absolutely nothing to do with the fact that I'm lazy).
So in both carbocations, the positively charged carbon is $\text{sp}$-hybridised (this allows the vacant orbital to be a $\text{p}$ orbital, which is higher in energy and therefore lowers the total energy of the system). The thing about $\text{sp}$-hybridised carbons is that the remaining two $\text{p}$ orbitals are mutually perpendicular, or orthogonal, to each other.
Now look at this diagram I drew:
$\hspace{26ex}$
I've colour-coded the $\text{p}$ orbitals. Purple ones are filled $\text{p}$ orbitals, and are parallel to other purple ones. The orange orbital on the $\text{sp}$ carbon is vacant, and is perpendicular to all the purple ones.
Look at A. Even though the $\text{sp}$ carbon has tons of $\text{p}$ orbitals surrounding it, the vacant $\text{p}$ orbital is orthogonal to all of them! The same can be said for B. So, neither species can derive any stabilisation via conjugation (aka resonance or mesomeric effect). Therefore, as your tutor said, you can only consider the inductive effects. In A, the positive carbon is bonded to two $\text{sp}^2$ carbons; in B, the positive carbon is bonded to one $\text{sp}^2$ carbon and a hydrogen. The $\text{sp}^2$ carbon is more electron-withdrawing (carbon is more electronegative than hydrogen), and therefore A is less stable.
This arrangement where all the filled orbitals are parallel is (presumably) the most stable. Consider an alternative conformation where you rotate the C-C single bond in A by 90 degrees, allowing the $\text{p}$ orbitals of the benzene ring to overlap with the vacant $\text{p}$ orbital on the $\text{sp}$ carbon. (I attached another diagram labelled A2 below.) This would serve to increase electron density on the positive carbon. However, to do this, you would have to break the conjugation between the benzene ring and the alkene, thereby forgoing the original stabilisation derived via conjugation. Overall, that's (presumably) less favourable. Check out ron's answer.
$\hspace{30ex}$