Which one of the following substituents at para-position is least
effective in stabilizing the phenoxide ion $\ce{PhO^{−}}$
Yes, the p-methoxy group is the least stabilizing of the choices. I'm not quite sure what you mean by
its mesomeric effect which will counter the mesomeric effect of $\ce{O^{−}}$
.
so let me add a few words of explanation for the choice.
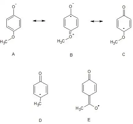
In the figure below, I've drawn a few of the resonance structures possible for p-methoxyphenoxide (A-C). The methoxy group donates electrons through resonance and resonance structure B illustrates this effect. However, note that in resonance structure B we have placed two negative charges close to each other - this is very destabilizing. Therefore, as the methoxy group donates electrons through resonance it destabilizes the system. In resonance structure C, the electron withdrawing inductive effect of the methoxy group is stabilizing. However the resonance effect outweighs the inductive effect and overall the p-methoxy group is strongly destabilizing in the case of phenoxide.
Resonance structure D illustrates the p-methyl case. Methyl is very mildly electron releasing both through resonance and inductively, so it also destabilizes the phenoxide anion, but since its effect is weak, it is not as destabilizing as the p-methoxy substituent.
Finally, notice in the p-acetyl case we can draw resonance structure E which actually stabilizes the phenoxide anion via resonance. The p-acetyl group is also inductively stabilizing in the phenoxide example.
