12

What happens when alkynes react with sodium in ammonia ($\ce{Na/NH3}$), or when they react with sodium amide ($\ce{NaNH2}$)?

Are these two sets of conditions different?

orthocresol
  • 71,033
  • 11
  • 239
  • 410
geek101
  • 1,041
  • 5
  • 15
  • 24

2 Answers2

12

Sodium in ammonia ($\ce{Na/NH3}$) and sodium amide ($\ce{NaNH2}$) are very different sets of conditions, despite superficially looking similar!


Sodium metal itself, $\ce{Na}$, is a one-electron reducing agent – it is oxidised to $\ce{Na+}$ in the process. When it reduces neutral hydrocarbons, negatively charged species are formed, which pick up a proton from the ammonia solvent. Overall, $\mathbf{Na/NH_3}$ is a way of reducing some organic compounds (including alkynes).

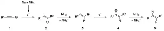
Internal alkynes $\ce{R-C#C-R}$ can be reduced to trans-alkenes using $\ce{Na/NH3}$. Specifically, solvated electrons are created which add to the triple bond as shown. Ammonia acts as a proton source to protonate the carbanions formed. The vinyl anion intermediate 4 can interconvert between a cis and trans geometry, and the trans geometry is preferred as this minimises steric repulsion between $\ce{R^1}$ and $\ce{R^2}$. When this anion is protonated, the trans-alkene is formed. This is a nice synthetic procedure for the preparation of trans-alkenes, complementary to Lindlar hydrogenation which produces cis-alkenes from alkynes.

Mechanism of Na/NH3 reduction of alkynes


On the other hand, in sodium amide $\ce{NaNH2}$, sodium is already in the +1 oxidation state and is no longer a reducing agent. However, the amide ion $\ce{NH2-}$ is a very strong base (the $\mathrm pK_\mathrm a$ of ammonia, $\ce{NH3}$, is 38). So $\mathbf{NaNH_2}$ is a way of deprotonating some organic compounds (including terminal alkynes).

The proton attached to the terminal carbon in a terminal alkyne is acidic enough ($\mathrm pK_\mathrm a \sim 25$) to react with sodium amide, forming the corresponding carbanion 7. Such carbanions are good nucleophiles and can be used in many synthetic procedures involving nucleophiles, such as addition to a carbonyl compound, as illustrated here.

Deprotonation of terminal alkyne with NaNH2

orthocresol
  • 71,033
  • 11
  • 239
  • 410
ron
  • 84,691
  • 13
  • 231
  • 320
-1

In the first case hydrogenation occurs(anti addition) whereas in the second case, acid base neutralization occurs. So they aren't identical.

According to Wikipedia,

$$\ce{2 Na + 2 NH3 -> 2 NaNH2 + H2}$$

This shouldn't occur "usually" in reactions, unless it is specified at very low temperature.

However, using FeCl3 as a catalyst one can produce sodamide and hydrogen from sodium metal and ammonia in appreciable amounts.

Niescte
  • 65
  • 4
user600016
  • 1,027
  • 1
  • 12
  • 26