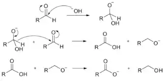
In the Cannizarro reaction an aldehyde with no alpha-hydrogens is treated with $\ce{OH^-}$. Through a series of equilibria the aldehyde goes on to disproportionate into the corresponding carboxylate and alcohol as shown in the following mechanism.

Again, the only requirement for the Cannizzaro reaction to occur is that the aldehyde not have any alpha-hydrogens. Formaldehyde and benzaldehyde are two very common aldehydes that undergo the reaction when treated with $\ce{OH^-}$. Chloral ($\ce{CCl3CHO}$), having no alpha-hydrogens also undergoes the Cannizzaro reaction (reference)
Edit: Response to OP's comment
A key part of the Cannizzaro mechanism is shown in the second line of the above mechanism. Here a hydrogen is transferred in a concerted step to the second molecule of aldehyde. Free $\ce{H^-}$ is not generated in the process, rather it is a smooth, concerted transfer of a hydrogen atom.
[Note: This has been proven experimentally, when the reaction is run in $\ce{D2O}$, no deuterium winds up attached to the alcohol carbon. This shows that free $\ce{H^-}$ was never involved, but rather a concerted transfer of the aldeyhdic hydrogen takes place].
Thanks to Mithoron for noting that, with chloral, the haloform reaction can apparently compete with the Cannizarro reaction. Presumably, the pathway followed depends upon the reaction conditions.